【導讀】在無線磁共振電能傳輸系統中,由于發送線圈與接收線圈之間往往具有很大的間隔,或者沒有對齊,使得兩個線圈之間互感系數往往很低。通常情況下都小于0.3。這種情況在 全國大學生智能車節能組[1] 比賽中情況會更糟。由于車模行駛到發送線圈上,依靠簡單的光電或者磁場定位,車模上的接收線圈往往很難對準發送線圈的中心。
1.設計背景
在無線磁共振電能傳輸系統中,由于發送線圈與接收線圈之間往往具有很大的間隔,或者沒有對齊,使得兩個線圈之間互感系數往往很低。通常情況下都小于0.3。這種情況在 全國大學生智能車節能組[1] 比賽中情況會更糟。由于車模行駛到發送線圈上,依靠簡單的光電或者磁場定位,車模上的接收線圈往往很難對準發送線圈的中心。
為了避免線圈漏磁造成的電感對于電能傳輸的阻礙,往往需要對發送和接收線圈使用電容進行補償。在前幾天測試了簡單的電容串聯補償,可以獲得50W傳輸功率,效率在75% 左右。串聯補償電路雖然設計簡單,但是對于發送系統存在不穩定情況。特別是當負載出現較大波動時,會引起發送線圈中的電流出現很大的波動。
為了適應負載的波動,往往采用LCC電路補償形式。它可以在了負載變化的情況下,維持發送線圈中的電流恒定,從而提高了系統的穩定性。
2.LCC補償方案
LCC電路補償是指在原來的發送線圈上增加三個補償器件,它們組成一個T型的電路網絡:
● T型左邊支路:串聯補償電感Lp
● T型右邊支路:串聯補償電容Cps
● T型下邊支路:并聯補償電容Cpp
發送和接收線圈采取對稱的LCC補償方案。

采用LCC進行補充的無線發送和接收電路
3.對稱T型補償電路
相比原來串聯補償,只有一個補償電容參數,在設計時只需要考慮到電路諧振頻率便可以求出補償電容的參數。
采用LCC補償方案,每邊補償網絡的參數變成了三個參數:Lp,Cps,Cpp。這使得電路設計變得復雜。
為了簡化設計,往往以下面對稱T型網絡為基礎來設計電路。在負載Z0與電源Ui之間,使用了兩個jX(電感)和一個-jX(電容)組成了一個T型補償網絡。其中三個器件在工作頻率下對應的電抗幅值均相同。因此這個電路在設計過程中只有一個參數X,因此設計過程簡單。

對稱梯形電路結構
這個電路最重要的一個特性,就是負載Z0的工作電流I0是一個恒定值:
它與負載Z0沒有關系。如果負載Z0就是對應的發送線圈中對應副邊的反射電阻,這也說明發送線圈中的電流I0不會隨著負載的變化而改變,這使得系統保持穩定。
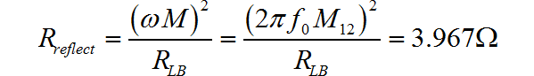
如果接收線圈已經進行很好的電容補償,對應線圈的負載假設為RL,那么通過發送和接收線圈的耦合,在發送線圈所對應的反射電阻:

因此,無論實際負載RL的變化,還是發送和接收線圈之間的互感M的變化,反映在發送線圈中都是改變了對應的反射阻抗的大小。
02 LCC補償網絡參數設計
根據在 無線充電系統在輸出部分采用LCC拓撲結構綜述研究[2] 中的方案設計LCC的網絡參數。

發送和接收線圈
發送和接收線圈參數:
● 電感量:29微亨;
● 互感量:在相距3厘米時,互感量為9.5微亨;
1.設計條件
(1)輸出負載
假設電阻負載RL=10Ω。經過全橋整流之后,根據 全橋整流等效負載阻抗是多少?[3] 討論,整流全橋之前的阻抗大約是:
假設工作頻率:f0=95kHz。
原邊的反射電阻:

假設輸出功率:
。
(2)輸入功率
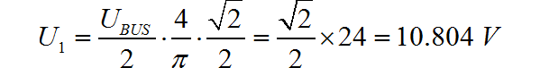
工作電壓:
。
對應的基波的有效值:


方波以及對應的基波峰值
假設原邊到負載之間的效率為:
。
因此電源在反射上的功率為:
流經反射電阻的電流:


原邊LCC補償結構
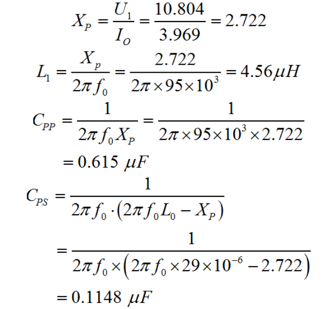
2.計算結果
根據前面計算出的I0的大小,可以分分別求出LCC補償器件的參數:

經過計算之后的LCC補償參數:

3.誤差影響分析
在實際實驗中,由于相關的電感L1,電容Cpp,Cps與設計參數會有相應的差別,主要原因包括:
● 只能通過規格的電感、電容通過串并聯制作。所以它們只能取與設計相近的數值;
● 滿足ZVS(Zero Voltage Switch)條件:逆變器需要呈現感性條件。
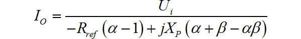
在 Applying LCC compenstation Network to Dynamic Wireless Charging System[4]給出了網絡參數偏離實際對稱狀態下的表達式。以LCC補償下支路Xp為基礎,左手偏離比率定義為
;右手偏離比率定義為:
,那么流經耦合線圈的電流表達式為:

從公式中可以看到,當α,β等于1時,流經耦合線圈的電流是一個常量:
。
下圖顯示了U1=300V,Xp=12歐姆,Rref=8Ω的情況下,不同的α,β對于電流的影響。

α,β對于耦合線圈電流的影響
4.制作LCC補償網絡
(1)制作電感Lp
主要制作的電感電感量:Lp=4.56uH

最初的電感骨架
環形骨架參數:
α,β尺寸:32mm×20mm×11mm
α,β匝數:N1=42
α,β電感:L1=203.6uH;
根據Lp要求,需要制作的匝數為:

利用Litz線繞制6匝電感,測量電感:L=5.895uH。

繞制的6匝電感
(2)制作Cpp,Cps
使用0.22uF的電容通過串并聯制作Cpp,Cps。

制作的電容
● 兩個電容串聯制作Cps。Cps=0.11uH。
● 三個電容并聯制作Cpp。Cpp=0.66uH。
(3)補償網絡模塊
利用 粘貼銅箔簡易實驗電路制作[5] 制作LCC補償網絡電路。

制作的LCC補償模塊
LCC網絡參數:
○ Lp=5.901uH
○ Cpp=650.2nF
○ Cps=104.8nF

連接在一起的耦合實驗品臺

發送線圈的LCC補償網絡(左)接收線圈的全橋整流(右)
03 實驗測試
1.空載測試
將接收線圈移開,只測量發送線圈在空載下工作情況。

發送線圈在空載下測量
下面顯示了在不同的工作頻率下,發送電路的工作電流變化情況。可以看到在設計的工作頻率點95kHz左右,系統工作電流最小,只有60mA左右。

不同頻率下的空載電流
如果是簡單的串聯補償,在發送線圈空載時,工作電流則會達到最大。此時系統的功耗也最大,這些電功率都消耗在驅動電路和工作線圈上。
經過LCC補償,情況則相反,在空載下,系統的工作電流自動達到最小。因此不需要系統進行額外的電流控制。
2.帶載實驗
將接收線圈與發送線圈對齊,并在全橋整流之后連接兩個50W30歐姆的水泥電阻并聯,負載電阻為15歐姆。

15歐姆的負載
下面給出了不同頻率下,系統的輸入功率、輸出功率以及電能轉換效率:

不同頻率下的轉換效率與功率
可以看出,在設計工作頻率95kHz時,系統的轉換效率達到最高。但在105kHz時,系統的輸出功率達到最高。
3.滿載實驗
根據前面設計系統滿載工作條件。在負載為10歐姆(由三個50W,30歐姆的水泥電阻并聯),驅動橋電壓為24V時,輸出功率應該50W左右。下面是測量的結果:
● 電源工作電壓:: Vbus=24V
● 整流橋輸出電壓:Vout=22.11V,輸出功率:48.89W
● 電源電流Ibus=2.66A,系統輸入功率:64.32W
● 系統效率:76.0%
由測試結果可以看出,系統工作條件基本達到了設計要求。
下圖顯示了工作一段時間之后,LCC補償電路和接收電路溫度分布情況。可以看到串聯補償電感Lp有很大的溫度升高,它損耗了一定功率。在輸出電路中,全橋整流溫度也升高。

穩態溫度分布圖
4.線圈中的電流
前面設計LCC補償電路參數,依據的原理是對稱T型電路會使得發送線圈的電流保持恒定。下面使用電流鉗分別測量在電路滿載和空載下,發送線圈的電流大小。

測量線圈中的電流
下圖是系統在空載時,發送線圈中的電流波形(青色)。

線圈驅動電壓與線圈中的電流
下圖顯示了系統工作在滿載時,發送線圈中的電流波形(青色)。對比空載和滿載,可以看到發送線圈中的電流幅值基本上保持恒定。

線圈驅動電壓與線圈中的電流
對比上面測量結果,可以看到線圈中的電流基本上保持恒定的數值。
結論
本文討論了基于對稱T型網絡設計LCC補償網絡參數問題。并對半橋驅動電壓24V情況下,在10歐電阻負載上輸出50W的條件進行設計LCC參數通過實驗測試,驗證了:
● 系統功率輸出達到了48.89W;
● 傳輸效率在76%;
工作在95kHz下,系統空載電流為60mA,無需主控電路任何控制,便可以適應接收負載發生劇烈變化的情況。
為了進一步提高系統的效率,需要對LCC中串聯電感Lp的制作進行優化。采用高頻,抗飽和磁環制作,減少補償電路的損耗。
參考資料
[1]全國大學生智能車節能組: https://zhuoqing.blog.csdn.net/article/details/110253008
[2]無線充電系統在輸出部分采用LCC拓撲結構綜述研究: https://zhuoqing.blog.csdn.net/article/details/113770750
[3]全橋整流等效負載阻抗是多少?: https://zhuoqing.blog.csdn.net/article/details/113777100
[4]Applying LCC compenstation Network to Dynamic Wireless Charging System: https://ieeexplore.ieee.org/stamp/stamp.jsp?tp=&arnumber=7405298
[5]粘貼銅箔簡易實驗電路制作: https://zhuoqing.blog.csdn.net/article/details/112150112
免責聲明:本文為轉載文章,轉載此文目的在于傳遞更多信息,版權歸原作者所有。本文所用視頻、圖片、文字如涉及作品版權問題,請聯系小編進行處理。
推薦閱讀:



