【導讀】很多電子工程師會問二極管重動態與直流電阻到底有什么關系,又有什么區別?這是很多人分不清楚的,其實直流電阻是二極管在一定伏安特性上,某一點端電壓與其電流的比值。那么二極管中直流電阻和動態電阻之間有什么區別呢?
二極管經常在電路中被用作整流之用。作為一種非線性器件,其對直流與直流之間的等效電阻的反應也是不同的。而直流電阻是二極管在一定伏安特性上,某一點端電壓與其電流的比值。那么二極管中直流電阻和動態電阻之間有什么區別呢?

(a) 電路

(b) 二極管伏安特性和工作點Q

(c) 二極管的直流電阻
圖1
在直流電源V的作用下,對應于二極管電流ID和二極管兩端電壓UD的點稱為靜態工作點,該點對應的直流電阻為:

動態電阻是在一個固定的直流電壓和電流(即靜態工作點Q)的基礎上,由交流信號ui引起特性曲線,在Q點附近的一小段電壓和電流的變化產生的。若該交流信號ui是低頻,而且幅度很小(通常稱低頻小信號),則由此引起的電流變化量也很小,這一小段特性曲線可以用通過Q點的切線來等效。

(a) 電路

(b) 二極管伏安特性

(c) 二極管的動態電阻
圖2
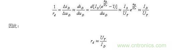
若在Q點的基礎上外加微小的低頻信號,二極管兩端產生的電壓變化量和電流變化量如圖2(b)中所標注,則此時的二極管可等效成一個動態電阻rd,根據二極管的電流方程可得:

可得:

ID為靜態電流,常溫下UT=26mV。可知,靜態電流ID越大,rd將越小。設UD=0.7V時,ID=2mA。由此可得直流電阻RD=350,而動態電阻(交流電阻)為:

可見二者相差甚遠,切不可混淆。
通過前文的講解和計算,相信大家對直流電阻和動態電阻的區別有了一定的認識,這也解釋了在使用萬用表的電阻檔對二極管進行測量時,所得電阻為二極管的直流電阻,而并不是非動態電阻。
與此同時,在用萬用表歐姆當對二極管的正向電阻進行測量時,因為萬用表內阻不同,所以導致流經管子的電流強度不同,這就意味著工作點的不同,最后使得測量出的RD值也不同。





