【導讀】負電壓被用于為汽車信息娛樂系統中數量越來越多的 LCD 顯示屏供電。同樣,在工業和鐵路環境中,負電壓軌可滿足儀表和監視應用的需要。
引言
負電壓被用于為汽車信息娛樂系統中數量越來越多的 LCD 顯示屏供電。同樣,在工業和鐵路環境中,負電壓軌可滿足儀表和監視應用的需要。在所有的情況下,負電壓軌均必須用正電源產生,但是正至負 IC 不像降壓型控制器那樣容易獲得。制造商不太可能擁有經過測試的合格負輸出轉換器,卻很可能已經有了一些經過核準的降壓型控制器,例如 LTC3892 雙輸出控制器。為避免因測試專用負輸出轉換器招致額外的耗時和成本,可使用 LTC3892 雙輸出降壓型控制器以 ?uk 拓撲產生負輸出電壓。
雙輸出轉換器:–12 V/3 A 和 3.3 V/10 A
LTC3892 是一款雙輸出控制器,其中一個輸出可用于提供一個正電壓,而另一個通道則用于產生一個負電壓,如圖 1 所示。這款解決方案的輸入電壓范圍為 6 V 至 40 V,其中 VOUT1 等于 3.3 V (10 A),VOUT2 等于 –12 V (3 A)。VOUT1 配置為直通式降壓型轉換器拓撲,具有功率鏈路組件 Q2、Q3、L1,以及輸出濾波電容器。將輸出設定為 3.3 V 無需在 VFB 引腳上布設分壓器 (直接連接至輸出),因為 LTC3892-2 具有固定的 3.3 V 或 5 V 輸出 (分別通過將 VPRG1 接地或連接至 INTVCC 來設定)。

圖 1.一款用于產生正電壓和負電壓的解決方案。VOUT1 為 3.3 V (10 A),VOUT2 為 –12 V (3 A)
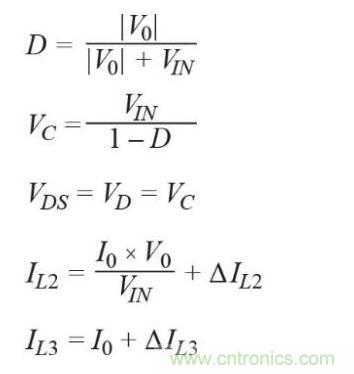
VOUT2 是一個負輸出電壓 (相對于 GND)。運放 U2 (LT1797) 連線為一個差分放大器,用于檢測該負電壓并將其調整為 LTC3892 誤差放大器 (EA) 的 0.8 V 基準。在這一方法中,LTC3892 的 EA 和這個運放均參考于系統 GND,從而簡化了電源控制和功能。用于設定負輸出電壓的種子公式為:

VOUT2 采用異步 ?uk 拓撲,并包括功率鏈路組件 Q1、D1、L2 和輸出濾波電容器。?uk 拓撲在其他技術文獻中有廣泛涉及,所以這里就不詳細介紹了。功率鏈路組件上承受的應力可用下面的公式概括:

這款解決方案的評估采用了 DC2727A 演示板,圖 2 示出了 VOUT2 效率。另外,這種方法在我們 LTC3892-2 的 LTspice® 仿真模型中也是可用的。

圖 2.在 14 V 輸入時負輸出 (VOUT2) 的效率
結論
LTC3892 是一款通用和靈活的控制器,雖然在表面上是專為同步降壓型轉換而設計的,但是它也可在 ?uk 拓撲中使用,為汽車、工業和其他應用產生正電壓和負電壓。
(來源:ADI,作者:Victor Khasiev)



