【導讀】10BASE-T1L單對以太網技術正在重新定義工業通信的邊界,這項創新技術最大特色是能夠在單對雙絞線上實現長達1000米的以太網傳輸,同時保持10Mbps的穩定數據傳輸速率。該標準最大的實用價值在于其對電纜類型的廣泛兼容性,能夠充分利用現場已有的各種電纜資源,極大降低了傳統工業設施進行網絡化改造的部署成本和復雜度,為工業自動化、過程控制和樓宇自動化等領域的數字化升級提供了更為經濟高效的通信解決方案。
摘要
10BASE-T1L單對以太網技術正在重新定義工業通信的邊界,這項創新技術最大特色是能夠在單對雙絞線上實現長達1000米的以太網傳輸,同時保持10Mbps的穩定數據傳輸速率。該標準最大的實用價值在于其對電纜類型的廣泛兼容性,能夠充分利用現場已有的各種電纜資源,極大降低了傳統工業設施進行網絡化改造的部署成本和復雜度,為工業自動化、過程控制和樓宇自動化等領域的數字化升級提供了更為經濟高效的通信解決方案。
這種靈活性也引發了一些常見問題,例如:是否使用任何電纜都能實現1公里的傳輸距離?不同電纜類型的性能是否一致?鏈路性能和傳輸距離取決于電纜的特性,而電纜特性又與電纜構造息息相關。本文總結了與該技術相關的電纜特性,描述了電纜傳輸距離與這些特性之間的依賴關系,并提供了已測試電纜的列表。
簡介
高級物理層和10BASE-T1L
高級物理層(APL)規范和IEEE 802.3cg 10BASE-T1L規范是兩個不同的標準,它們存在關聯,但不能互相替代。IEEE 802.3cg標準定義了通過單根雙絞線進行長距離以太網通信的10BASE-T1L物理層,與應用無關;而APL標準則在IEEE 802.3cg的基礎上,針對本質安全環境中的過程控制應用,進一步擴展了同一物理層的規范和定義。這意味著,任何APL器件都符合10BASE-T1L標準(數據層,但不是通過數據線進行電力傳輸),但并非每款10BASE-T1L設備都符合APL標準。
APL文件包括數據層規范和系統定義,涵蓋了電磁兼容性(EMC)性能、電纜屏蔽連接和網絡拓撲等方面。例如,參見圖1,APL規范定義了同一網絡內的兩類數據鏈路:支線和干線。支線鏈路直接連接到現場設備,長度不能超過200 m,而且由于現場設備的本質安全環境,傳輸電平為1.0 V p-p。干線將現場交換機或上游設備連接到最近的功率開關,長度可達1000 m,并以2.4 V p-p傳輸電平運行。
其他10BASE-T1L應用,例如樓宇自動化技術的應用,不需要符合APL要求。因此,支線和干線的概念并不適用于這些場景。事實上,該技術的網絡拓撲是靈活多樣的,包括星形、線形、環形或其組合形式。可以根據功率限制或抗擾度要求來選擇傳輸電平,而與傳感器或網絡交換機的位置無關。這讓用戶可以更加靈活地使用電纜,因為無論鏈路位于何處,都可以使用2.4 V p-p傳輸電平。電纜的信號損失容差可以更高,對標稱電纜阻抗的要求也不那么嚴格。我們將在后續章節中更詳細地討論這些內容。

圖1.(左)用于過程自動化應用的APL網絡拓撲。(右)用于樓宇自動化技術的線形和環形拓撲。
標準中規定的電纜特性
為了符合IEEE 802.3cg標準,該文件的第146.7子條款規定了電纜必須滿足的鏈路段特性。包括定義了插入損耗、回波損耗、最大鏈路延遲、差模至共模轉換(適用于非屏蔽電纜)和耦合衰減(適用于屏蔽電纜)的限值。此外,對于涉及本質安全的應用,以及對于爆炸區域(0區,高爆炸危險;1區,可能產生火災或爆炸;2區,可能發生爆炸或火災,但可能性不大)中的設備,APL規范文件針對10BASE-T1L物理層的操作增加了一些規則和定義,包括電纜方面的定義:電纜分類、支線和干線鏈路的最大電纜長度、屏蔽等。
插入損耗
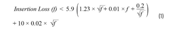
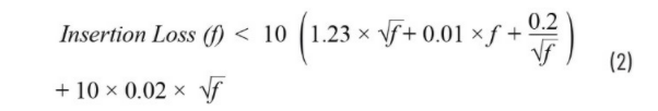
電纜的插入損耗以分貝(dB)為單位,用于衡量信號沿傳輸線(電纜)的衰減情況。它等于傳輸信號的功率與電纜末端接收的信號功率之比。這種損耗或衰減會隨著電纜長度和信號頻率的增加而增加。根據IEEE 802.3cg標準,最大允許插入損耗隨傳輸電平而變化:2.4 V p-p的最大允許插入損耗高于1.0 V p-p下的值,以適應不同的信號強度及對應的要求。
IEEE 802.3cg規范
IEEE 802.3cg第146.7.1.1子條款對兩條限值曲線做了明確規定,具體內容如下:對于1.0 V p-p傳輸電平:

對于2.4 V p-p傳輸電平:

在兩個方程中,f為頻率,單位為MHz,且0.1 MHz≤f≤20 MHz。圖2為1.0 V p-p和2.4 V p-p傳輸電平所對應的插入損耗限值。

圖2.10BASE-T1L 802.3cg插入損耗規格。
APL分類
APL電纜規范根據插入損耗將電纜分為四類,而插入損耗決定了支線或干線數據鏈路的最大允許鏈路長度。這些分類也符合IEEE 802.3cg 10BASE-T1L電纜規范。1.0 V p-p和2.4 V p-p的插入損耗限值分別與支線和干線的運行要求一致。支線必須以1.0 V p-p運行,并遵守相應的插入損耗限值;而干線需以2.4 V p-p運行,并遵守更高的插入損耗限值。表1為所有APL電纜分類,以及圍繞電纜長度和插入損耗曲線的規定。
表1.APL電纜分類 - 插入損耗;f在公式3和公式4中的單位為MHz

請注意,公式4與IEEE 802.3cg 10BASE-T1L規范中的公式2相同,而公式3算得的值不到公式1的一半。換句話說,連接到支線的電纜須遵循更嚴格的限制條件。
對表1的正確理解是:特定類型的電纜要達到APL IV類標準,其1000米樣本的插入損耗必須低于公式4設定的閾值,如果不符合這一條件,則該電纜不符合IV類標準;要達到APL III類標準,電纜的750米樣本的插入損耗必須低于公式4,如果不符合該標準,但其500米長的樣本符合要求,則該電纜屬于APL II類;如果500米樣本不合格,但250米樣本滿足公式4閾值,則該電纜被歸為APL I類;如果電纜不滿足上述任何要求,則它不符合APL標準。
回波損耗
理想情況下,當信號通過電纜的一端進行傳輸時,它應該被另一端的負載完全吸收。然而,正如前面所討論的,由于電纜存在插入損耗,信號會減弱,一些能量也會被反射回信號源。這些反射現象是由變送器和電纜之間的阻抗不匹配或電纜本身引起的,可能發生在任何位置。回波損耗用于量化反射回信號源的信號強度,通常以分貝(dB)為單位。回波損耗等于發送的信號與反射的信號之比。與插入損耗一樣,回波損耗隨頻率而變化。
假設電纜品質優良,則其阻抗在整個電纜長度上會保持一致,可以大大減輕阻抗不匹配情況(收發器的連接點除外)。如果某條電纜鏈路因損壞或施工不良而在某些地方出現了故障,情況就不同了。然而,鑒于本文的宗旨,我們不討論這種情況。
與IEEE 802.3cg 10BASE-T1L插入損耗規格不同,回波損耗規格與傳輸電平無關。這是因為,正確端接的電纜的回波損耗與其長度無關。因此,無論電纜長度是200米還是500米,回波損耗都應該保持一致,除非因制造工藝或環境條件(如濕度和溫度)的變化而產生差異。
IEEE 802.3cg規范
IEEE 802.3cg標準規定了電纜必須遵守的最小回波損耗曲線(與頻率相關),如下所示:

其中,f為頻率,單位為MHz。
APL規范
APL規范還規定了符合APL標準的電纜的最小回波損耗。此規范沒有區分收發器的兩個傳輸電平,因而比插入損耗簡單得多。

其中,f為頻率,單位為MHz。
請注意,APL電纜回波損耗規格額外增加了6 dB的裕量,因此比IEEE 802.3cg規格更嚴格。圖3顯示,任何符合APL回波損耗規格的電纜也符合10BASE-T1L回波損耗規格,但并非所有符合10BASE-T1L回波損耗規格的電纜都符合APL規格。

圖3.10BASE-T1L和APL回波損耗規格。
最大鏈路延遲
鏈路延遲是指信號從電纜一端傳輸到同一電纜另一端所需的時間。這種延遲是由電纜的構造引起的,并且會隨著溫度的變化而波動。鏈路延遲也可以表示為電纜標稱傳播速度(NVP)的函數,NVP定義為信號通過電纜的速度與光速之比。電纜NVP始終低于1.0,大多數電纜的NVP介于0.6和0.8之間。在某些情況下,電纜的NVP值可能接近0.5,這意味著給定長度電纜的鏈路延遲更長。
IEEE 802.3cg中針對10BASE-T1L規定的最大鏈路延遲是一個固定值,相當于長度為1589 m、NVP為0.6的電纜所產生的延遲。據此,最大鏈路延遲為8834 ns。
![]()
模式轉換和耦合衰減
電纜的插入損耗和回波損耗是決定電纜在正常情況下的性能的主要參數。然而,工業應用要求系統能夠承受存在高電磁干擾(EMI)的環境。這些干擾既包括耦合到電纜的恒定頻率信號音,也有偶爾出現的高頻高能脈沖。無論受到何種干擾,10BASE-T1L或APL通信鏈路都必須能夠正常運行,避免數據丟失。大多數EMI來自外部源,長單對電纜是主要耦合機制之一。因此,電纜特性對整體電磁抗擾度起著重要作用。
耦合衰減 - 屏蔽電纜
對于屏蔽電纜,IEEE 802.3cg標準規定了最小耦合衰減。它與差分耦合到數據對的最大信號量有關。在屏蔽電纜中,該最大信號量取決于屏蔽的質量和覆蓋率,以及同一對導線中電線的對稱性。因此,不同的屏蔽會有不同的響應。例如,采用箔屏蔽加引流線的電纜與覆蓋率90%的編織屏蔽電纜相比,二者的性能可能會有所不同。
圖4為IEEE 802.3cg針對電磁環境E1、E2和E3中安裝的系統的規格。E1對應于住宅、商業和輕工業建筑等電磁環境中部署的設備,E2對應于其他工業建筑的電磁環境中部署的設備,E3對應于由車輛電池供電的設備。

圖4.IEEE 802.3cg針對屏蔽電纜的耦合衰減。
差模至共模轉換 - 非屏蔽電纜
假設同一對導線中的兩根電線都是理想且對稱的,則信號應該以同等方式耦合,產生的共模信號可以由10BASE-T1L信號路徑中的MDI電路進行有效濾波。然而,電線之間的不對稱可能導致部分共模信號在傳輸線上表現為差模信號。如果該信號在10BASE-T1L目標帶寬(100 kHz至20 MHz)內且足夠大,它可能會破壞自動協商過程或數據傳輸。此外,這種不對稱可能會將10BASE-T1L的部分差模信號轉換為共模信號,從而增加電纜損耗并可能降低性能。
為了解決這些問題,IEEE 802.3cg標準根據電纜運行的電磁環境規定了最小差模至共模轉換(TCL)。圖5為針對電磁環境E1和E2的規格。

圖5.IEEE 802.3cg針對非屏蔽電纜的差模至共模轉換規格。
特性與長度的依賴關系
IEEE802.3cg 10BASE-T1L標準沒有針對具體長度定義電纜特性,這導致許多關于最大傳輸距離和合規性的疑問。例如,長度為1000米的Cat5/Cat6電纜通常不符合10BASE-T1L標準,因為其插入損耗超過了公式1和2設定的限值,然而,相同類型的電纜在長度約700米時可能完全符合要求。
插入損耗與電纜長度的依賴關系
如前所述,插入損耗反映了信號衰減情況,通常以頻率為參考進行表示。因此,插入損耗(以dB為單位)與電纜長度成正比。
這意味著,如果一個鏈路段的長度是另一條同類型電纜長度的k倍,則其總插入損耗也是較短電纜插入損耗的k倍。舉例來說,一條1000米長電纜樣本的插入損耗曲線,大約相當于另一條同類型的100米長電纜樣本的插入損耗曲線的十倍。
回波損耗與電纜長度的依賴關系
假設電纜總體上的結構均勻(包括線徑一致、電線間距恒定、每米絞合數一致等),則電纜的回波損耗不隨長度對于10BASE-T1L通信的頻率范圍而言,這個假設相當合理。然而,如果電纜由多段相同類型的電纜連接而成,由于每個連接點可能存在反射,其回波損耗可能比單條連續電纜更差。為簡單起見,本節假設給定電纜類型的回波損耗保持不變,與長度無關。
鏈路延遲與電纜長度的關系
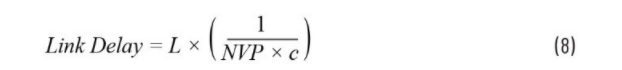
對于給定電纜,信號延遲與電纜長度成正比。通過電纜的信號延遲因電纜類型而異,并且與其構造有關。通常,電纜制造商以NVP為參考提供此信息。下面的公式8顯示了如何根據電纜的NVP值計算鏈路延遲。

其中,L是所討論電纜的長度,NVP是電纜的標稱傳播速度,c是光速。圖6為兩條電纜的鏈路延遲與電纜長度的關系。一條電纜的NVP = 0.5;另一條電纜的NVP = 0.8。請注意,即使NVP值較低,標準也能支持超過1300米的鏈路延遲。標準中留有足夠的余量,以確保其在溫度變化下的魯棒性和穩定性。

圖6.IEEE 802.3cg鏈路延遲規格,以及NVP = 0.5和NVP = 0.8的電纜的鏈路延遲與長度的關系。
最大電纜長度
電纜傳輸距離的主要限制因素通常是插入損耗,APL分類基于該因素的原因正在于此。插入損耗與電纜長度成正比,因此APL分類設置了電纜長度限制。
對于非APL應用,10BASE-T1L技術提供了更大的靈活性,支持屏蔽和非屏蔽電纜、阻抗不匹配程度更高的電纜、電纜的再利用等。除此之外,某些應用還可以使用超出IEEE 802.3cg標準規格的電纜。為了適應這些應用,ADI公司的10BASE-T1L產品系列預留了充足的裕量,支持長達1700米的通信距離,并確保在各類電纜上都能穩健運行。
然而,不同電纜的最大傳輸距離各不相同,并非市場上的每一類電纜都能達到1700米。有些電纜的信號損耗可能較高,導致傳輸距離較短。
最大傳輸距離和電纜的IEEE 802.3CG合規性
如果設施旨在符合IEEE 802.3cg標準,則電纜和PHY設備都必須符合該標準。本節深入探討插入損耗和回波損耗規格,以及合規性驗證過程。此外,本節概述了用于估算和測試給定類型電纜最大傳輸距離的方法。圖7說明了如何計算電纜的最大傳輸距離。

圖7.流程圖,用于驗證電纜樣本是否符合插入和回波損耗規格,以及計算符合規格的最大電纜長度。
如圖7所示,該流程圖依賴于對給定電纜樣本的插入損耗和回波損耗的測量。理論上,電纜的長度不會影響這些結果,但在實踐中,測量誤差會隨著電纜長度的減小而增加。因此,APL規范建議使用500米的電纜樣本進行測量。對于非APL應用,為了獲得可接受的結果,本文建議使用至少100米長的電纜進行測量。
為了確保合規,初始步驟包括評估電纜在不同頻率下的回波損耗。如果回波損耗低于公式5中列出的閾值,則電纜不符合標準,無需進一步測試。然而,如果電纜的回波損耗高于規定曲線,接下來則需要根據公式1或2中設置的基準來評估電纜的插入損耗。如果插入損耗超過這些曲線,則該電纜被視為不合規。
驗證插入和回波損耗之后,流程圖提出了一種估算符合規格的最大允許長度的方法。具體實現方式如下:將測得的插入損耗乘以因子k,以獲得盡可能接近公式1(針對1.0 V p-p傳輸電平)或公式2(針對2.4 V p-p傳輸電平)所述的曲線。通過外推法,估算相同類型但長度是所測試樣本長度k倍的電纜的插入損耗。目標是確定最大k值,使得外推的插入損耗曲線始終低于所需的規格曲線,并在外推過程中迭代調整k值。
示例:
以下示例進一步解釋了此方法。假設插入損耗和回波損耗已測量。
第1步:回波損耗驗證
圖8為給定類型、長度為100米的電纜X的回波損耗驗證,以及IEEE 802.3cg和APL的回波損耗規格。請注意,電纜回波損耗測量結果中的每一點都大于APL和IEEE 802.3cg回波損耗規格。這說明,所測量的電纜符合兩種回波損耗標準。

圖8.回波損耗驗證。藍色跡線表示給定類型電纜的回波損耗測量結果;黃色跡線表示APL回波損耗規格;紅色跡線表示IEEE 802.3cg回波損耗規格。
第2步:插入損耗驗證
插入損耗可以通過繪制電纜插入損耗相對于規格的曲線來驗證,如圖9所示。電纜X的插入損耗測量結果如藍色實線所示。請注意,此曲線遠低于黃色和紅色虛線所表示的1.0 V p-p和2.4 V p-p 10BASE-T1L規格。
這意味著,任何同一類型、長100米的電纜X都可以用在1.0 V p-p或2.4 V p-p的10BASE-T1L鏈路中。

圖9.插入損耗驗證。紅色虛線:IEEE 802.3cg在2.4 V p-p傳輸電平下的最大插入損耗;黃色虛線:IEEE 802.3cg在1.0 V p-p傳輸電平下的最大插入損耗;藍色實線:100米電纜X的插入損耗測量結果。
第3步:符合IEEE 802.3cg標準的最大長度的計算
本節重點介紹IEEE 802.3cg標準,而不是APL分類。但是,讀者可以根據表1進行類似的分析。
對于測得的插入損耗,可以將每個數據點乘以因子k來外推。根據所采用的傳輸幅度(1.0 V p-p或2.4 V p-p標準),外推所得曲線低于相應的標準曲線。
圖10顯示了1.0 V p-p的IEEE 802.3cg插入損耗規格,以及選擇k = 7所獲得的外推曲線(綠線)。綠色曲線是將100米電纜樣本的插入損耗的每個數據點乘以k = 7得到的。請注意,獲得的外推值略低于1.0 V p-p規格,這意味著700米(將k = 7乘以電纜長度得出)是符合非APL應用的1.0 V p-p傳輸電平規格的近似最大長度。任何小于700米的長度也同樣符合1.0 V p-p傳輸電平規格。
與此類似,圖10還顯示了2.4 V p-p的IEEE 802.3cg插入損耗規格,以及k = 12時所獲得的外推曲線(藍線)。該曲線的獲得方式與上述方式類似,即將100米電纜樣本的插入損耗的每個數據點乘以k = 12。請注意,外推曲線也略低于2.4 V p-p規格,這意味著1200米是符合2.4 V p-p傳輸電平規格的近似最大長度(基于其插入損耗)。任何小于1200米的長度也同樣符合2.4 V p-p規格。

圖10.對電纜X的插入損耗進行外推,獲得符合IEEE 802.3cg 1.0 V p-p和2.4 V p-p規格的最大電纜長度。
以上分析表明,基于插入損耗和回波損耗標準,在非APL應用中,對于1.0 V p-p和2.4 V p-p傳輸電平,該特定類型電纜的最大允許鏈路段分別約為700米和1200米。然而,對于需要完全符合標準的應用,最大鏈路段不得超過1000米。
此方法可應用于其他類型的電纜,得到的最大合規鏈路段長度可能小于1000米。例如,針對Cat5/Cat6電纜進行類似評估時,符合10BASE-T1L標準的典型最大長度通常不超過700米,不過這會因電纜品牌和型號而異,有些電纜可能會提供額外的裕量。
通過電纜測試估算ADIN1100、ADIN1110和ADIN2111支持的最大傳輸距離
電纜測試程序涉及使用矢量網絡分析儀來估計電纜的參數,以及使用ADI公司的EVAL-ADIN1100EBZ評估套件來執行以太網流量測試。該評估套件擁有媒介轉換器功能,并通過評估軟件提供多種診斷功能,例如幀生成器、幀檢查器、均方誤差和環回模式等。
測試步驟
電纜測試包括使用矢量網絡分析儀測量被測電纜的插入損耗和回波損耗,然后使用這些參數來評估電纜合規性,并估算符合IEEE802.3cg 10BASE-T1L標準的最大電纜長度。最大合規長度是指特定類型電纜符合IEEE 802.3cg所定義的2.4 V p-p或1.0 V p-p插入損耗曲線(如圖2所示)的最大長度。
進一步的測試包括通過被測電纜連接兩個EVAL-ADIN1100EBZ評估板,以建立10BASE-T1L鏈路。后續鏈路性能測試涉及使用片內幀生成器以全帶寬傳輸以太網流量,并監測每個EVAL-ADIN1100EBZ板上10BASE-T1L鏈路的均方誤差(MSE),以及錯誤計數和接收到的以太網幀數。僅當滿足以下條件時,測試才會被標記為通過:
10BASE-T1L已成功建立。
MSE優于-20.5 dB。
測試期間接收的幀沒有錯誤。
對長度不同的同類型電纜重復進行此測試,以確定故障點。但在某些情況下,最大測試長度可能受限于實驗室可提供的最大長度,而不一定能反映電纜的實際最大傳輸距離。同樣,在電纜長度增量超過100米的情況下,識別出的故障點可能無法準確反映絕對最大電纜長度。例如,如果只有500米的電纜段可用,則可以通過連接兩個500米的電纜段來建立1000米的鏈接,但這種辦法對于1500米是不可行的。因為真正的最大長度可能是1200米,但受限于沒有該長度的電纜可用來進行測試,最后記錄的數據點仍為1000米。
表2為在實驗室中測試的各種電纜,得到的符合10BASE-T1L兩種傳輸電平標準的估計最大長度,以及使用EVAL-ADIN1100EBZ評估板在2.4 V p-p和1.0 V p-p下測試的長度。
表2.不同類型電纜上的典型ADIN1100/ADIN1110/ADIN2111鏈路長度性能

注釋1:實驗室中測試的最大長度對應于測試期間鏈路正常運行的最長長度。
注釋2:實驗室中測試的最大長度受限于可用電纜,并且必然受限于收發器的傳輸距離。
注釋3:電纜參數不可用或未測量。
1測試的電纜Helu 82836是Profibus PA,其標準化傳輸速率為31,25 kB,特性阻抗為100±20 Ω,39 kHz時波衰減最大值為3 dB。
結論
IEEE 802.3cg-2019標準的電纜定義非常靈活,支持多種曾用于舊通信協議的電纜類型,因此維持了長傳輸距離,確保能夠通過以太網無縫連接邊緣設備,而無需網關。
ADI公司的ADIN1100、ADIN1110和ADIN2111內置了裕量,既支持符合標準的電纜,還能夠兼容非標準電纜。理想情況下,應用應遵守IEEE 802.3cg或APL規范,尤其是在過程控制中。但實際情況是,許多系統需要重復使用現有布線來降低部署成本。內置裕量增強了數據鏈路的穩健性,并有利于各類電纜(包括為了其他通信協議而安裝的電纜類型)采用10BASE-T1L技術。這種靈活性確保了ADI公司的10BASE-T1L器件能夠在1.0 V p-p和2.4 V p-p傳輸電平下保持一致的電纜傳輸距離。
此外,ADI公司提供眾多10BASE-T1L診斷工具,例如幀生成器、幀檢查器、通過均方誤差反映鏈路質量的指示器以及帶有TDR的電纜故障檢測器等,這些器件均能夠支持在規劃、調試和運行階段對系統進行診斷。這些工具有助于簡化部署,通過提供診斷洞察有效縮短停機時間,并在發生故障時減少糾正維護工作量。
推薦閱讀:
電子電路無聲衛士:扼流線圈技術演進、應用生態與全球供應鏈格局
未來工廠:利用搭載人工智能的傳感器在邊緣做出決策——第2部分






