中心議題:
- 通過電荷分布曲線近似的解析方法,計算了多晶硅量子效應對閾值電壓的影響
解決方案:
- 計算了在不同摻雜濃度下多晶硅量子效應所引起的MOSFET閾值電壓的偏移
隨著微電子工業的發展,器件的特征尺寸已經發展到了納米量級[1],并且將向著溝道長度為10 nm的方向發展。在這種器件中,為了抑制短溝道效應、DIBL效應,體硅通常采用高摻雜,此時由于器件的尺寸很小,量子效應對器件特性的影響已經不容忽視。自20世紀70年代以來,對量子效應的研究已得到廣泛的關注,主要是通過數值模擬或解析近似的方法,對體硅從積累到反型時的量子效應進行計算[2-7]。而大多認為在多晶硅中,能量彎曲很小,沒有明顯量子效應,用經典的方法可對多晶硅進行描述[7-9]。已有的對多晶硅量子效應的研究也是基于多晶硅/二氧化硅/體硅的全量子模型的數值模擬計算[10]。本文通過電荷分布曲線近似的解析方法,計算了多晶硅量子效應對閾值電壓的影響。
1 多晶硅量子效應
在通常的MOSFET中,隨著外加電壓的改變,高摻雜的多晶硅從積累到耗盡轉變,多晶硅中能帶彎曲的不大,被認為不會形成深的量子阱。一直以來,多晶硅中載流子的分布大多用經典的方法進行描述,而在體硅溝道中用經典或量子模型進行描述。研究表明在多晶硅/二氧化硅界面[10],由于能帶突變,對多數載流子的波函數會產生影響。量子效應下,電荷被推離界面,從而形成大概幾個納米的“dark space”耗盡層。與經典的電荷分布不同,當經典的耗盡寬度小于或與“dark space”的寬度相近的時候,需要用量子的定義。為簡單起見,本文以N型多晶硅NMOS結構為例。

圖1 量子效應下載流子和經典情況 下多晶硅中載流子的分布對比
圖1給出了不同的柵壓下考慮多晶硅量子效應時多晶硅中載流子的分布和經典下載流子的分布,圖中CL為經典描述下載流子分布,QM為考慮量子效應下載流子的分布。體原封不動摻雜為1018 cm−3,多晶硅摻雜為1020 cm−3。當所加電壓為負電壓和柵壓為閾值電壓時,量子效應下的載流子分布與經典的情況有很大的差別,而加的正電壓很大時,量子情況與經典情況沒有很明顯的差別。這是由于在外加電壓為負時,能帶的突然變化對電子波函數有顯著影響;而外加電壓為正的時候,對電子波函數影響很小。
本文采用電子分布曲線擬合近似,設多晶硅/二氧化硅界面處為0=x點,向上為正,峰值處的點的坐標為,分別用以下分布來近似上升和下降階段的載流子分布:
(1)
(2)
式中
為多晶硅中的摻雜濃度;
是電子的擴散長度,它是多晶硅中摻雜濃度的函數,很快就能計算出;
為峰值處的電子濃度比平衡時多出的部分。令:
(3)
通過在不同的柵壓時βαγ,取不同的擬合值,能較好地近似體硅從積累到反型的各種情況下載流子的分布。同時所取的βαγ,必須滿足電中性條件:
(4)
即
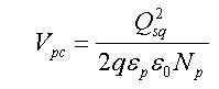
(5)
式中Qsq為考慮量子效應時體硅的面電荷密度。

圖2 電子分布的數值模擬與近似分布曲線
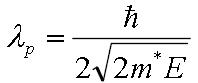
圖2給出了摻雜濃度為1020 cm−3,對應柵壓為閾值電壓時的近似曲線與數值模擬分布曲線的對比,發現近似曲線和模擬分布曲線在所研究的區間上能很好地符合,說明近似方法具有很好的準確性。另外根據量子計算,電子分布的峰值可用電子的第一個波函數的第一個峰值處近似計算:

式中 ,![]()
為電子能量,
為多晶硅/二氧化硅界面相對于柵表面的電勢差。
[page]
2 對閾值電壓的影響
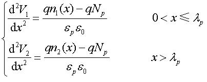
在多晶硅中的泊松方程為
(7)
由式(1)、(2)可得,電子濃度分布下多晶硅中的泊松方程為:
(8)(9)
式中 當邊界條件在∞→x時,
。求解得到多晶硅柵上的電場及電勢分布為:
(10)
(11)
(12)
(13)
則
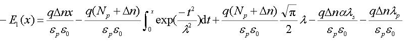
(14)
由于
為多晶硅/二氧化硅界面處的電勢與柵上所加電壓的差,則多晶硅柵上的壓降
。則考慮多晶硅量子效應的
小于不考慮多晶硅量子效應時的
時,即導致閾值電壓的減小。不考慮多晶硅量子效應(多晶硅用耗盡模型)時,多晶硅柵上的壓降)
(15)

圖3是柵壓為閾值電壓時的多晶硅中電場和電壓分布,圖中體硅摻雜為
,多晶硅摻雜為
,二氧化硅厚度為5 nm。可以看到考慮多晶硅量子效應時氧化層電場比不考慮多晶硅量子效應時大,這是由于偶極子的產生使電場發生扭曲,增加了氧化層中的電場,使得在體硅中的載流子增加,也就意味著多晶硅量子效應會導致閾值電壓的減小。
通過曲線近似,能定出不同摻雜濃度下的γβα,代入式(14)可以得到即為多晶硅上的電壓降。

圖4 不同摻雜濃度下考慮多晶硅量子效應與不考慮多晶硅量子效應時多晶硅柵上壓降之差
圖4給出了不同的多晶硅摻雜下,考慮多晶硅量子效應相對于只考慮體硅量子效應時MOSFET閾值電壓偏移的數值模擬結果與本文的模型結果。圖中體硅摻雜濃度為
,二氧化硅層厚度為3 nm,可以看到隨著多晶硅摻雜濃度的增加,多晶硅量子效應對MOSFET閾值電壓的影響增大,而且變化很快,在摻雜低時候基本可以忽略,而在多晶硅摻雜濃度高時則不能忽略。但在小尺寸MOSFET中,多晶硅摻雜都很高,通常在
量級,此時量子效應不能忽視。同時可看到,通過與數值模擬結果[10]比較,本文模型具有很好的準確性。
基金項目:國家自然科學基金資助項目(60276042); 安徽省自然科學基金資助項目(01044104)
作者簡介:孫家訛(1983 – ),男,碩士生,主要從事微電子學方面的研究.



