中心議題:
- 加強ESD保護
加強ESD保護的技巧的解決方案:
- 縮短寄生“截斷”跡線的長度或LESD
- 縮短GND跡線長度和/或減少使用通孔數量以便縮短LGND
- 讓特定設計上的LIC/LPORT比盡可能地小
- 在ESD器件和IC直接添加緩沖電阻器
ESD 器件的主要目的是提供電阻最低的接地分流路徑。根據這種理念,我們為電路板設計者提供了一種能夠讓他們計算ESD瞬變時保護器件的有效電阻的方法。該電阻或動態電阻可用于比較和從當今市面上的大量ESD器件中選擇最合適的器件。我們得出的結論是,考慮到其他所有寄生效應之后,動態電阻最低的器件能夠為設計者提供一舉成功的機會。
在本文章中,我們將介紹各種技巧,電路板設計者可以用它們幫助自己實現設計所需的ESD等級,從而保證所選的ESD保護器件能夠通過在系統ESD測試。

背景
現代電子設備(從LCD電視到手機)使用的很多芯片集都是采用130nm以下的工藝技術開發而成。這些技術的最低DC電壓容差超過3.3V,所以ESD脈沖對這類器件的影響是毀滅性的。并且,“板上”或“片上”ESD保護要求已降至500V,遠遠低于8kV 現場要求的典型值。
因此,考慮到小型芯片集的弱點,電路板設計者不僅需要外部ESD保護,還需要確保它足夠穩定。如先前的白皮書所述,在受保護的數據線路或I/O引腳上安裝額定電壓為8kV的ESD器件并不能保證在系統測試時芯片集本身會通過8kV的電壓。
通常,ESD器件本身不會提供充足的保護,從而導致芯片集過早損壞。本白皮書提供了幾點指導意見,設計者可以用它來加強板上ESD保護。
器件布置與布局
器件位置和布局對于讓ESD保護器發揮最大效用具有至關重要的作用。為此,設計者最好了解各種寄生電感的板級效應。還特別介紹了電感,因為8kV ESD(即30A)時,僅1nH的電感就會通過關聯在PCB跡線上產生30V的尖峰電壓。

在決定ESD器件布局時,應該考慮4種寄生電感,即LESD、LGND、LIC和LPORT,其位置如圖2所示。

LESD和LGND能夠提高箝位電壓(或VIC),而LIC和LPORT則對設計者有利。我們先介紹這2種有害電感。
LESD和LGND
有時,電路板布局不允許將ESD器件直接安裝在PCB跡線上面。原因各異,但即使將ESD元件安裝在距離受保護數據線路1厘米遠的地方也可能會迅速轉化為幾十伏的電壓。GND總線也一樣。在某些設計中,ESD器件的GND必須穿過幾個通孔,甚至采用迂回路線到達接地面。除了流經ESD器件的ESD電流產生的電壓以外,這兩種電感還會產生電壓尖脈沖(即IPEAK×RDYNAMIC)。
下述簡例說明了LESD和LGND對VIC的影響。在介紹該實例之前,應該指出的是,常見的PCB生產工藝為典型的微帶跡線提供了約3nH/cm的電感(假定具有一定的寬度、厚度和介電常數)。
考慮到這一點,我們假設具有8kV ESD脈沖和動態電阻為1Ω的ESD器件。并且,我們來看看2種不同的布局,即布局A和布局B,其中LESD=LGND=1.5nH(各0.5cm),LESD=LGND=3.0nH(各1.0cm)。

因此,只需要將跡線長度(即LESD和LGND)從0.5cm增加到1cm就可以讓將VIC提高75%。圖3介紹布局B以及與各個元件有關的電壓。
[page]
LIC和LPORT
很多ESD器件數據手冊中經常提到讓器件盡可能靠近ESD輸入點。這樣LPORT/LIC比就會盡可能得低(即LIC>>LPORT)。LPORT的電感未必會影響整體的ESD性能,但LIC的電感則肯定會影響ESD性能。
LIC 的非線性會通過大幅削減IC電壓來充當ESD脈沖的初始峰值電流的緩沖器。隨著電感的降低(即ESD器件越來越靠近IC),電壓降也會不斷減小,直到無法獲得任何優勢時為止。所以,將LPORT/LIC比降至最低以便利用PCB跡線的寄生特性對設計者最有利。我們所說的電壓降如圖4所示。

利用LIC和LPORT是提升整體ESD性能的直接方法。然而,無論上述比值有多小,仍然有設計會過早地出現故障。換句話說,LIC未能為峰值ESD電流提供充足的緩沖。
有時候,采用先前的技術不足以為給定電路板設計提供最大限度的ESD保護。原因在于流經“片上”ESD結構的電流過多,并且在I/O短接至GND或VCC時被損壞。
圖5有助于將它弄清楚,表明ESD器件和受保護的IC實際上共同承擔了來自于ESD脈沖的電流負載。該數值(負跡線電感)對應于正ESD脈沖,其中保護器件吸收了大多數電流,但是它本質上是一個帶有IC的電阻分壓器。

如圖5所示,IC上的軌對軌二極管負責將剩余的或“允通”電流導入VCC(它一般會通過旁路電容器回到GND)。很難確定什么樣的等效電阻適于為IC實現ESD保護,但是無疑比板上ESD器件高得多。
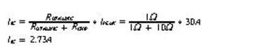
例如,如果將10Ω的電阻用于實現片上保護(RCHIP),1Ω的RDYNAMIC用于外部ESD保護器,那么流經IC的峰值電流應該是:

為了幫助降低流入IC的峰值電流,可以將電阻器串聯在外部ESD器件和IC之間,如圖6所示。

通過增加10Ω的緩沖電阻,就可以將流入IC的峰值電流降低約50%(如本例)。

很顯然,電阻可以增加10Ω以上,從而進一步降低了允通電流。通常,最高電阻由應用要素決定。
還應注意,在將這種技術用于高速應用(如HDMITM和USB3.0)時更要小心。RBUFFER電阻器會干擾線路阻抗,使信號衰減的程度超出了2種標準合規性規范所規定的范圍,但是精心的電路板設計可以抵消任何不良影響。盡管如此,電路板設計者還是應該將這種技術保存在工具箱內,并在電路板或在系統ESD 等級降至要求以下時使用。
結論
如今,現代芯片集對ESD瞬變導致的損壞比以往任何時候都更敏感。由于小型工藝技術的原因,這些IC需要穩定的外部ESD解決方案以便經受住在系統ESD測試的考驗。
本文介紹了4種電路板設計者可以用來優化ESD解決方案的策略或規程。
1. 縮短寄生“截斷”跡線的長度或LESD。
2. 縮短GND跡線長度和/或減少使用的通孔數量以便縮短LGND。
3. 讓特定設計上的LIC/LPORT比盡可能地小。
4. 如果1Ω-3Ω的電阻不夠,則在ESD器件和IC直接添加緩沖電阻器。
所有這些方法均旨在降低流經IC的電壓,以及限制片上ESD結構必須處理的電流。按照這些簡單規則行事能夠為電路板設計者提供更穩定、超出行業標準要求的ESD解決方案。



