導讀:在LED照明燈具快速發展替換傳統照明的形勢下,市場也出現了可調光LED照明的需求。但是在目前絕大多數的情況下,都是采用可控硅調光技術,由此而導致LED電源輸入電流會產生周期性的持續的尖峰電流。這對保險絲的選型提出了一個新的問題:面對持續不斷的尖峰脈沖該如何選擇保險絲。本文從理論上進行分析推理,并結合實際應用中的案例,試著提出一個可供參考的選型思路。
當普通的保險絲選型遇到使用可控硅調光的LED照明電源的保險絲選型時遇到了困難,因為在此情況下,每個市電周期都會產生2個比較高的尖峰電流沖擊保險絲,這個尖峰電流不同于開機脈沖,是一個持續不斷的沖擊過程。本文試著提出針對此情況的一個可供參考的保險絲選型思路。
1、從保險絲溫升角度選型
1.1 對于簡單持續尖峰電流,從控制溫升角度看,可控硅調光的應用,保險絲的規格應該:

理論上連續的尖峰不能引起保險絲的溫升持續增加,其中一個充分非必要條件:
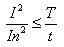
如果保險絲符合IEC 60127標準,

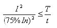
如果保險絲符合UL標準,

假設:保險絲(規格為In)經受電流為I寬度為t,周期為T的持續性電流沖擊。
[member]
如果保險絲通以一定的電流(Ix)可以永久工作,那么此時保險絲的聚熱與散熱一定處于平衡狀態,此時保險絲的散熱功率為Ix2T。如果尖峰電流產生的能量≤Ix2T,可以認為尖峰電流產生的能量不可能使保險絲的溫升大于Ix時的溫升。對于滿足不同的安規體系,Ix的數值有所區別,IEC體系下可以認為等于In;UL體系下可以認為等于75%In。

圖1 周期性尖峰電流
1.2 一般情況:對于電路中周期性持續尖峰電流+平穩電流的選型
如果電路中不僅有尖峰電流,還存在有效值為Ir的持續平穩電流,那么通過以上分析,簡單推理可得到,保險絲規格:


圖2
1.3 以上數值需要再考慮溫度折減
一般LED照明的電源絕大部分都是內置式的,燈具內部的環境溫度比較高;即使是外置的電源,也是有外殼緊緊包裹,電源在工作時也會產生比較高的溫度。所以以上數值需要根據工作環境溫度和各個不同的保險絲供應商的參數進行相應的溫度折減。
2、從耐受脈沖角度看,如果要滿足2萬小時的壽命,脈沖折減系數應該 <1.3%;5萬小時壽命,折減系數應該 <1%
2.1 在滿足了第1條溫升不超過載流時的條件,那么就可以將各個電流尖峰當做獨立的脈沖沖擊來看待。
2.2 如果要達到2萬小時的壽命,保險絲需要經受近100億次的沖擊,而此數據很難利用實驗數據達到,所以在此根據已有的信息作趨勢分析。分析步驟如下:
>> 主要保險絲公司(AEM, Bussmann, Littelfuse)的Wire-in-air類型產品的耐受沖擊次數與折減比率如下表格:

>> 分別將沖擊次數(times)和折減比率(Ratio)取對數,并將新數據繪成散點圖;呈現很強的線性關系。
取對數的目的是:原數據成指數關系,數值差異很大,取對數可以更方便看出關系。

圖3 耐脈沖次數與折減比率對數散點圖
>> 將此數據用線性方程擬合,可得到以下關系:
lg(ratio) = -0.092 – 0.111*lg(times),通過t檢驗,此方程關系非常顯著,如下表。

圖4

表1 Dependent Variable: lgratio
>> 預測100億次(2萬小時+)和1000億次(20萬小時+)的脈沖折減比率期望值分別為:2.6%和2%。但是基于現有數據預測是有誤差的,從統計學的角度,有95%的把握分別落在(1.3%, 3.8%)(1%, 3.1%)范圍內。在實際計算中,我們都取下限作為計算標準。

表2 預測結果
2.3 在滿足以上的折減比率,還需要針對工作溫度進行I2t的溫度折減,然后根據恰當的數據選擇合適的保險絲規格。
3、考慮開機脈沖
在實際選型中,除了以上2點之外,還需要考慮在普通選型條件下的開機脈沖問題。由于電源一般都會在電源輸入端使用濾波電容,而導致在開機瞬間會產生比較高的尖峰脈沖。一般在選型中認為,保險絲至少要經受10萬次的開機脈沖的沖擊,才能保證在正常工作時保險絲不會發生異常熔斷,也就是說至少要按照22.2%的折減系數進行折算。當然,由于燈具的開機往往不能保證一定是冷開機,比如說廁所燈就會遇到頻率的開關機,所以在做脈沖折減時,還需要考慮溫度折減的因素。
4、案例分析
以下為實際應用時量測到電源正常工作時的波形:電流尖峰 max 3.6A,寬度約為1.2ms;正常電流約為0.03A,正常工作時溫度可以達到85℃。

圖5 開機脈沖的波形

圖6




