【導讀】前幾天看到一篇求助帖,問運放構成的電壓跟隨器中運放正負端之間跨接電阻作用。最初我分析了一下,認為電阻R6沒有任何作用,后來受到啟發,有了點想法,請看客指出不足和可以進一步深入分析的地方。
新人求助:請幫忙看看這個電壓跟隨器R6的作用及多大合適?
電壓跟隨器為什么要在同相輸入端與輸出端加上電阻R6,這樣做有什么好處么?阻值多大怎么確定。謝謝。

有兩個人是這樣的回答的:
1、視頻信號里有大量的高頻信號成份,清晰度越高,信號的頻率也越高,而運放是有頻率帶寬的,高頻信號經過運放情況很復雜,再加上PCB走線的電感影響,很難用理想的模型進行分析,這個電阻應該是提升頻率響應用的,一般在幾百歐,甚至幾十歐,要靠實驗來確定的,K級應該作用很小,M級沒意義的。
2、是擴展頻率響和穩定應用的. 4樓,11樓的說法是對的。如果運放的帶寬足夠,可以不接的。
基于這兩個回答,這里重慶大學的老師有了自己的想法。最初我分析了一下,認為電阻R6沒有任何作用,后來受到啟發,發現用理想模型去分析是不對的,于是再進行分析,得到答案。映證了我第二次分析得到的答案。現在將分析過程列出,請看客指出不足和可以進一步深入分析的地方。

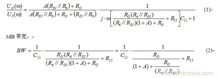
頻率響應:

其中,Ro為運放的輸出電阻,RIN為運放的輸入電阻,A為運放的增益。
若電阻R6很小,(R6//RIN)=R6,再假設運放增益A很大,運放輸出電阻RO很小,可進行化簡,如下:

可見,這就是一個低通濾波器,而且其頻率響應和R6無關。但是,我們得出這樣的結論是做了一系列的假設,實際的運放,由于其非理想,隨著頻率的升高,增益A會下降。

我們不妨假設A很小,利用(2)式,可得不加R6時,電路的帶寬為:


從上式看出,當A較小時,R6的加入確實有擴展帶寬的作用,但R6的取值不能太大。當R6取得很大時,x=R0/R6趨近于0,BW2/BW1趨近于1,也就不能擴展帶寬了。
結論:當運放本身的帶寬小于(3)式時,整個電路的帶寬受運放的限制,這時,電路加入R6應比不加R6帶寬要寬。當運放本身的帶寬大于(3)式時,電路帶寬由C11和R15決定。這種情況下,加入R6的意義不大。





