【導讀】GaN FET可以應用在48V電源系統中,但由于缺乏配合GaN FET工作的合適控制器,工程師們常利用DSP數字解決方案來實現其高頻和高效率設計。然而,DSP解決方案因為需要額外的IC而增加了復雜性和難度。本文介紹了一種兼容GaN FET的模擬控制器,它只需很少的器件,就可以讓設計人員像使用硅FET一樣簡單地設計同步降壓變換器,同時提供卓越的性能。
GaN FET可以應用在48V電源系統中,但由于缺乏配合GaN FET工作的合適控制器,工程師們常利用DSP數字解決方案來實現其高頻和高效率設計。然而,DSP解決方案因為需要額外的IC而增加了復雜性和難度。本文介紹了一種兼容GaN FET的模擬控制器,它只需很少的器件,就可以讓設計人員像使用硅FET一樣簡單地設計同步降壓變換器,同時提供卓越的性能。
在電力電子領域,氮化鎵 (GaN) FET擁有比傳統硅FET更加卓越的性能。GaN FET因效率高而產生更少的熱量,系統成本也隨之大大降低。然而,商用電源制造商在應用GaN FET進行大規模生產時仍面臨一些挑戰,以下為客戶反饋的一些信息:
1.“GaN FET設計與硅FET設計完全不同。” (電源制造商)
2.“使用GaN需要數字控制,這讓我們望而卻步;因為設計模擬電路比較容易,成本也低,那才是我們擅長的事情。” (電信公司)
3.“GaN FET 的到來意義重大。能夠縮小散熱器尺寸對我們來說非常重要,但問題是我們還需要一個微控制器來配合它。” (家電廠商)
許多設計工程師已經意識到采用GaN FET會帶來的益處,但卻一直猶豫是否將GaN引入實際設計,其主要原因還是設計的復雜性。隨著GaN FET成本的不斷降低,相對硅FET的高昂成本可以通過系統級設計來抵消。假如客戶真的面臨這些難題,那我們該如何幫助他們?
瑞薩電子通過在48V系統中使用100V GaN FET來解決這個問題。本文將闡述這種方法,并以一種截然不同的方式來解除客戶的疑慮。
自從電話設備被發明以來,電信和無線基礎設施應用一直采用48V直流電源供電。近年來,數據中心和高端汽車系統也開始采用48V電源,因為它仍然被認為是安全的低電壓,其安全要求要低得多,但允許使用具有最小壓降的更細規格電線。現在已經有很多發布的文章都在探討快速興起的48V市場。
5G AAU(有源天線單元)的典型電源樹圖如圖1所示。系統的-48V輸入總線通過DC/DC轉換提供數百瓦或千瓦級的功率,將-48V電壓轉換為+28V、或+48V至+56V,并饋入大型功率放大器陣列。轉換后的正電壓還可以創建12V或5V總線饋送給其他系統負載,例如時序/時鐘、存儲器、ASIC/FPGA等(如果-48V已經與交流電或可再生能源等主電源隔離,則無需再隔離)。顯然,隨著5G市場的快速增長,AAU和BBU(基帶單元,圖中未顯示)都需要多個不同功率級別的48V轉換,這其中蘊含的市場潛力巨大。投入資源開發80V或100V額定電壓的GaN FET來取代傳統硅FET符合GaN制造商的商業利益。
在無線基礎設施應用中采用GaN有很多潛在的益處,包括提高系統效率、最小化設備尺寸、降低電力成本和簡化散熱管理等。尤其對5G AAU,它甚至可以減輕系統重量,考慮到基站安裝越來越分散,而且有些場景安裝還比較困難,這一點尤其重要。

圖1:典型的5G AAU電源樹圖(未顯示交流電源)
電源架構的細節取決于站點類型、覆蓋范圍、位置以及與電網或遠程電源的距離。
宜普公司 (EPC)是業界著名的 GaN FET 公司之一,曾經發布過48V總線電源轉換參考設計(EPC9143),其中就采用了GaN FET方法(見圖 2),其整個設計都是開源的。
該參考設計基于行業標準的1/16磚尺寸轉換器,支持18V至60V輸入,并基于兩相交錯配置提供額定電流為25A的12V輸出。除了EPC GaN FET之外,該設計還使用了一個16 位數字控制器,其工作頻率為500kHz,可提供大于95%的峰值效率(該控制器具有DSP內核和額外的模擬部分,為簡單起見,我們在文中稱其為DSP)。

圖2:帶DSP控制器的EPC9143參考設計(頂部和底部)
毫無疑問,該設計提供了相當不錯的性能,但我們注意到它還使用了六顆其它IC,如圖2的參考設計所示。
通過多種數字電源控制器,用戶可以靈活地重新編程輸出電壓和保護閾值,還可以添加其他需要的功能。然而,對于某些48V應用,一旦設計確定,就無需重新配置;因此其控制調制器如果以模擬方式設計,將與數字方式同樣有效。我們開始考慮是否可以將 EPC9143 中所需的 7顆IC進行組合并替換,僅用一個模擬IC就達到類似的性能。雖然 DSP解決方案幾乎實現了GaN FET設計的最大潛力,其效率遠高于硅FET。但通過更簡單的BOM實現相同的目標,將為客戶提供更高的功率密度和更低的解決方案成本,這與效率同樣重要。
在精簡產品定義、IC設計和全面驗證工作之后,瑞薩電子開發出了一款80V雙同步降壓控制器,專門優化以驅動增強模式GaN FET,即ISL81806(參見圖3)。

圖3:80V雙輸出/兩相GaN FET控制器ISL81806
ISL81806 采用兩相交錯拓撲結構,最多可并聯成六個交錯相位,可以承受千瓦級的負載,而無需外部數字控制來分配相位。
其它特性還包括:
●寬輸入電壓范圍:4.5V至80V,適合電信設備應用
●寬輸出電壓范圍:0.8V至76V
●支持恒壓或恒流輸出
●寬開關頻率范圍:100Khz至2MHz
●輕載或強制PWM模式下的二極管仿真和突發模式
●直通保護、OCP、OVP、OTP、UVP
●每個輸出的獨立使能(EN)和軟啟動
●針對增強型GaN FET進行優化的柵極驅動和死區時間
EPC和瑞薩電子開發了一個新型參考設計板EPC9157(參見圖 4)。與圖2中的 DSP解決方案相同,它采用了兩相交錯拓撲和1/16磚尺寸模塊外形設計。該參考設計板的額定輸入電壓、輸出電流和500kHz頻率也與DSP解決方案相同。(截至本文發布之時,該板的額定輸入電壓為80V)。

圖4:使用ISL81806和四個GaN FET的EPC9157 參考設計板(僅提供模擬控制)
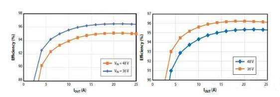
DSP EVB和模擬EVB的效率比較如圖5所示,其效率在峰值功率下非常接近。模擬EVB 具有更好的輕載效率,部分原因是單個模擬控制器消耗的工作電流 (50μA) 比DSP解決方案所需的七個組合IC要少,而且它可以直接使用12V輸出作為IC電源的外部偏置。

圖5:效率比較(左:使用DSP的EPC9143;右:使用ISL81806的EPC9157)
圖6顯示了數字和模擬解決方案之間的主要BOM差異(其中省略了無源組件)。很明顯,模擬解決方案電路BOM非常簡單,它只需一個IC,不需要任何編程。

圖6: BOM比較
盡管ISL81806已經提供了卓越的效率、解決方案尺寸和BOM成本,但未來仍有很多改進的空間。正如GaN FET技術在過去幾年中迅猛發展一樣,瑞薩電子正致力于定義和設計匹配的控制器,其設計團隊也面臨著新的挑戰和機遇。
●未來的發展方向可能包括(但不限于):
提高擊穿電壓
100V擊穿電壓可能更適合遠程AAU以及板裝磚式電源模塊,尤其適用于具有長電纜的電信設備,可以使其更加堅固。
●更強大的分離式柵極驅動
實現更高的效率需要更強大的柵極驅動器,但這會導致更快的dV/dt,有可能損壞IC,因為任何非理想布局帶來的大量雜散電感會產生負電壓。要解決這個問題,可能需要單獨導通/關斷以優化開關速度,如參考文獻中的RAA226110等分立式GaN驅動器IC。
●更小封裝以優化布局
GaN供應商通常建議采用小尺寸封裝,如CSP或BGA,這類封裝沒有擴展引腳,可以進一步降低系統雜散電感。但要注意,某些可能部署在嚴苛環境中的應用不能采用CSP或BGA封裝。
●IC工藝改進
IC開關節點需要非常穩健,以處理開關期間的高dV/dt(大于200V/ns)和負電壓。其內部自舉二極管也需要盡可能趨近零Qrr(反向恢復電荷)以實現更高頻率。這些需求給IDM 或晶圓代工廠提出了挑戰,要求其不斷改進IC制造工藝。
●對死區時間優化的進一步研究
出于安全目的,高側開關關斷和低側開關導通之間有較短的死區時間。在此期間,GaN FET的“體二極管”會傳導負載電流。GaN FET獨特的“體二極管”模式具有零反向恢復電荷(Qrr),但正向壓降非常大。因此,在死區期間,不僅傳導損耗會增加,而且自舉電容器也可能會過度充電,直至損壞頂部的器件。為了實現非常小但仍然安全的死區時間,我們還必須考慮IC和其他BOM參數因溫度和批量生產的差異而發生的變化。像 ISL81806 這樣的 E-MODE 控制器使用針對GaN FET優化的固定最小死區時間,并且 EPC9157 EVB 專門設計了外部低成本保護電路,以避免自舉電容器過度充電。不過,這又可能會限制實際的工作頻率。部分DC/DC IC供應商會添加死區時間編程引腳或提供死區時間數字化編程。無論采用哪種方式,死區時間選擇的艱巨任務都落在電路設計人員肩上。未來,我們需要更智能的IC功能特性。
●增加靈活性以適應各種GaN技術
與普通硅FET不同,各種GaN FET(包括增強型GaN FET)可能具有完全不同的設計。例如,建議的柵極電壓可能因制造商不同而差異很大,這會帶來麻煩,因為柵極電壓需要通過不同的OVP級別來保護。除了未來產品中的其他可能變量之外,柵極驅動電壓也需要可編程。
GaN FET未來可期,終有一日,它會以更合理的成本和更出色的性能,直接替代硅FET。而像ISL81806這類控制器正在通過進一步的產品開發助力實現這一目標。如果控制器設計得當,使用GaN FET會像使用硅FET一樣輕松自如。
(來源:面包板社區 ,作者:Zhihong Yu)
免責聲明:本文為轉載文章,轉載此文目的在于傳遞更多信息,版權歸原作者所有。本文所用視頻、圖片、文字如涉及作品版權問題,請電話或者郵箱editor@52solution.com聯系小編進行侵刪。
推薦閱讀:


