【導讀】輸入失調電壓Vos(Voltage - Input Offset),指的是為使運算放大器輸出端為0V所需加于兩輸入端間之補償電壓。理想之運算放大器其Vos應該為0V。
輸入失調電壓Vos(Voltage - Input Offset),指的是為使運算放大器輸出端為0V所需加于兩輸入端間之補償電壓。理想之運算放大器其Vos應該為0V。
輸入失調電壓相當于加載輸入端的一個額外的電壓源。舉個例子:
如果閉環增益G=1(如下圖左邊), 失調電壓Vos傳導到輸出端Vout = Vos
如果閉環增益G=1000(如下圖右邊),失調電壓Vos傳導到輸出端Vout = 1000Vos
圖1:不同閉環增益下的失調電壓Vos對于輸出電壓影響(圖片來源:TI)
所以,閉環增益越大,失調電壓對于輸出的影響越大。
除此之外,我們還要注意一點。失調電壓不是一直不變的,最大的失調電壓變化一般出現在輸出極值時。
為了保證失調電壓在可控范圍內,我們還要關注開環增益。我們在定義開環增益時,比如TI的TLV8542,我們會發現開環增益的工作條件分別在電源正軌道-0.6V,負軌道+0.6V定義。
圖2:TLV8542開環增益(圖片來源:TLV8542數據手冊)
如下圖,橫坐標輸出電壓Vout從負電源軌-Vs到正電源軌+Vs變化。藍線代表開環增益,開環增益會在接近電源正負軌時,我們可以看到急劇惡化。
所以對于開環增益的定義,很多廠商(比如TI), 會在一個較大的輸出擺動范圍求其平均值,以實現良好的線性運行。比如選擇電源正軌道-0.6V,負軌道+0.6V來計算開環增益,如上圖紅線。
最大的失調電壓變化一般出現在輸出極值時,比如接近電源正負軌。在中間部分,增量開環增益較高,然后在輸出接近電源正負軌道附近的時候下降。如果將運算放大器推向其擺幅極限時(超負荷工作),失調電壓會更劇烈地上升。
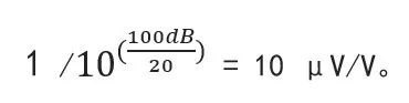
讓我們來做一些具體的計算。如果直流開環增益為100dB,則相當于:
因此,每從中位電壓輸出擺動1V,輸入電壓必須改變10μV。可把它看作隨直流輸出電壓變化的失調電壓。輸出擺動9V,變化為90μV。
所以,為了保證失調電壓在可控范圍內,盡量不要讓放大器工作在超負荷工作,從而導致更大的失調電壓。
(來源: 得捷電子DigiKey)
免責聲明:本文為轉載文章,轉載此文目的在于傳遞更多信息,版權歸原作者所有。本文所用視頻、圖片、文字如涉及作品版權問題,請電話或者郵箱editor@52solution.com聯系小編進行侵刪。
推薦閱讀:
Würth Elektronik攜手貿澤電子推出全新電子書,助你簡化電磁兼容性設計
意法半導體智能傳感器處理單元在傳感器內集成“大腦”,開啟Onlife時代







