【導讀】短路故障是IGBT裝置中常見的故障之一,本文針對高壓大容量IGBT的短路故障,分析了IGBT的短路特性,基于已有的IGBT驅動器和有源電壓箝位技術,設計了一種閉環控制IGBT關斷過電壓的驅動電路。通過實驗證明,這種電路可以提高IGBT短路保護的可靠性。
IGBT被廣泛用于各類pwm變流器,如ups、變頻器、有源電力濾波器等。隨著IGBT制造工藝的發展,如今,IGBT的額定電流和電壓已分別提升到3600a和6500v,由大功率IGBT構成的現代化兆瓦級變流器,廣泛出現在各類工業應用當中,尤其是近年來,隨著新能源發電技術的發展,中大功率IGBT得到了更為廣泛的應用。隨著變流器容量的提升,變流器在整個系統的成本以及可靠性中所占的比重日益增大,因此,兆瓦級變流器的可靠性成為廣泛關注的問題。
短路時IGBT失效的原因
短路故障是電力電子裝置中常見的故障之一。電機繞組絕緣擊穿、電機電纜絕緣擊穿、誤操作、驅動指令錯誤、不足的死區時間,都會造成短路故障的發生。
通常,IGBT短路故障致使IGBT損壞的原因主要有以下三種。總的來說,這三種原因都可以歸結為器件中硅材料或焊接導線的熱效應所引起。
(1)超出硅材料的熱極限
短路過程中,IGBT承受整個vdc電壓,同時ic為正常電流的若干倍。IGBT將承受遠大于正常運行狀態下的損耗,從而使得IGBT的結溫迅速升高。如果結溫超過了允許的最高結溫,IGBT將因熱積累作用失去阻斷能力。vce將迅速降低,隨后整個器件完全損壞。通常,IGBT生產廠家都會保證在特定情況下10μs的短路耐受時間。
(2)IGBT擎住效應
在IGBT中存在一個寄生的npn三極管,正常運行情況下,這個npn三極管被擴散電阻旁路,不會開通。然而,在ic很大的情況下,例如短路發生時,這個npn三極管將開通,這樣IGBT門極將失去對IGBT的控制力。最終,IGBT將因為過大的電流使芯片和焊接導線上產生過大的損耗而損壞。
(3)vce過電壓
在保護電路控制IGBT主動關斷由于短路引起的大電流時,由于分布電感的存在會產生vce過電壓,vce超過了特定的限制。IGBT將因雪崩擊穿而損壞;與短路電流相等的ic將集中于一塊很窄的硅上從而產生一個高溫的熱點,因此,IGBT失去它的阻斷能力,并在幾十ns內失去電壓。為了防止由于這類原因造成IGBT失效,除了主回路的分布電感應盡可能地小,還需要一種帶有vce控制的門極驅動器。
短路故障的關斷過電壓
通常情況下,IGBT短路故障被分為兩類,開通短路(hsf)和通態短路(ful)。
開通短路是指負載短路發生在IGBT開通過程中,如圖1a)所示。IGBT在t1時刻開始開通,ic迅速升高!dic/dt由門極驅動電路的特性和 IGBT的跨導決定。vce先下降,很短時間后重新開始上升,穩態時,vce略低于IGBT斷態電壓——直流側電壓vdc。

圖1:兩種IGBT短路故障特性
通態短路是指在IGBT已經開通進入穩定導通狀態之后,負載發生短路,如圖1b)所示。短路發生后,ic上升,dic/dt由短路阻抗和直流側電壓vdc決定。當ic升高至由門極電壓vge和IGBT跨導所決定的穩態最大電流后,IGBT將退出飽和區,vce開始升高。vce的升高將通過米勒電容cgc耦合一個電流對IGBT門極進行充電,從而使得vge升高。vge的升高將使得ic繼續增大,從而使得ic表現出很大的過沖,這將導致IGBT擎住現象發生甚至毀壞。
仔細觀察圖1中vce曲線,可以發現,在短路過程中,vce出現兩次過沖。第一次過沖是因為IGBT自身的限流作用,第二次是因為人為的IGBT關斷指令。通常,第二次電壓過沖是很高的,如果沒有進行妥善的處理,可能造成IGBT因為vce過電壓而損壞。本文主要針對解決此問題,從門極驅動器的角度,展示了一種解決方法,保護IGBT免于由于此類故障損壞。

圖2:換流回路的等效電路
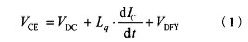
IGBT關斷過電壓是存儲在主回路分布電感中的能量重新分配的結果,無論何時,只要流經IGBT、母排、直流側電容的電流發生換向,關斷過電壓都將出現。在如圖2所示的等效電路圖中,可得vce如下:
其中,lq包括了母排中的電感,直流側電容中的等效串聯電感以及IGBT封裝中的電感。vdfy表示反并聯二極管的正向恢復電壓,通常為10到50v。
為了保證vce在IGBT的額定范圍以內換流電流變化率必須滿足下式。

相關閱讀:
大功率開關電源IGBT短路保護的三種設計方法
http://m.jinyixuan88.cn/cp-art/80019306
一種新型的IGBT短路保護電路的設計
http://m.jinyixuan88.cn/motor-art/80000715
第二講:基于IGBT的高能效電源設計
http://m.jinyixuan88.cn/gptech-art/80020858
[page]
短路時關斷過電壓的抑制方法
傳統保護方法
傳統IGBT驅動器 的控制框圖如圖3所示。正常運行時,IGBT經rg_on開通,經rg_off關斷。當短路或過流故障發生時,為了限制關斷過電壓,IGBT經阻值較大的電阻rg_fault關斷。這將使vge緩慢下降,從而消除顯著的關斷過電壓。然而,這是一種開環的控制方法,無法完全保證IGBT在任何情況下都能夠安 全的關斷。同時,任何短路檢測方法都需要一定的檢測時間,如果IGBT關斷信號在短路故障檢測出之前使能,IGBT將經rg_off關斷,這樣一來,IGBT損壞將不可避免。

圖3:傳統的驅動電路
對于傳統驅動器中存在的問題,本文中使用一種被稱為“有源電壓箝位技術”的方法,設計了一種閉環的保護驅動電路,如圖4所示。

圖4:所采用的的閉環保護方法示意圖
圖4中z為瞬態抑制二極管,瞬態抑制二極管為一種瞬態沖擊電壓保護器件,反應時間可以達到ns級。相比壓敏電阻,其反應速度快,然而瞬態容量和穩態容量都遠小于壓敏電阻。
在檢測到短路故障之后,IGBT經rg_fault關斷,當vce升高至瞬態抑制二極管的擊穿電壓時,電流通過瞬態抑制二極管向IGBT門極充電,提升IGBT的門極電壓vge,隨著vce的繼續升高,流過瞬態抑制二極管的電流將增大,從而動態的改變dic/dt,實現了關于vce的閉環保護。
實驗結果
實驗的等效電路圖如圖2所示。驗證性實驗使用一只Infineon公司的半橋IGBT模塊ff450r17me3作為功率開關,9只低感薄膜電容——每只225μf/1200v——組成直流側電容,功率開關與直流側電容通過基于印刷電路板的疊形母排連接,以保證較低的主回路分布電感。ff450r17me3為采用Infineon公司第三代IGBT芯片技術,具有更低的導通壓降,更快的開關速度,同時,采用了新的econodual封 裝模式,保證了IGBT封裝內部更低的分布電感。

圖5:試驗工作臺
驅動板采用infineon的1700v IGBT驅動器2ed300c17作為核心器件,提供良好的隔離和兩路隔離的正負30a的峰值驅動電流能力,以及過流保護、欠壓保護等。通過實時檢測導通時的vce電壓,能夠快速判定短路故障,及時控制門極電平,實現IGBT的軟關斷。其故障狀態下的軟關斷功能和有源電壓箝位功能共同作用,有效地抑制了在故障狀態下關斷IGBT時產生的高di/dt,降低了IGBT兩端的關斷過電壓,保證在最嚴重的的短路下實現安全有效的保護。

圖6:短路試驗結果
在vdc=1200v下進行了短路試驗,試驗波形如圖6所示。可見,在關斷開通短路電流和通態短路電流時,vcemax被可靠地箝位在1350v,小于vces(1700v),使IGBT工作于安全工作區間內,有效地保護了IGBT,所采用的有源電壓箝位技術達到了預期的效果。
相關閱讀:
大功率開關電源IGBT短路保護的三種設計方法
http://m.jinyixuan88.cn/cp-art/80019306
一種新型的IGBT短路保護電路的設計
http://m.jinyixuan88.cn/motor-art/80000715
第二講:基于IGBT的高能效電源設計
http://m.jinyixuan88.cn/gptech-art/80020858




