【導讀】液晶電視和等離子電視的開關電源設計采用有源或者無源的PFC模式,能夠長時間在無散熱通風的環境下工作。這就要求開關電源要具備高功率密度、平滑的電磁干擾信號和少量的元器件。半橋LLC諧振轉換器的優勢就凸顯了出來。
半橋LLC轉換器建模和增益特性
LLC轉換器可以通過一階基波近似來描述。但只是近似,精度有限。而在Fs頻率附近精度達到最高。
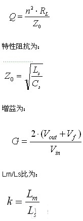
等效電路的傳遞函數為:

這其中,Z1和Z2與頻率有關,由此可知LLC轉換器的行為特性類似于與頻率有關的分頻器,負載越高,勵磁電感Lm所受到的交流電阻Rac產生的鉗位作用就越大。這樣一來,LLC儲能電路的諧振頻率就在Fs和Fmin之間變化。在使用基波近似時,實際的負載電阻必須修改,因為實際的諧振回路是由方波電壓驅動的。
相應地,轉換器的品質因數為:

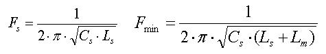
串聯諧振頻率Fs和最小諧振頻率Fmin分別為


圖1:標準化增益特性
LLC轉換器所需要的工作區域是增益曲線的右側區域(其中的負斜率意味著初級MOSFET工作在零電壓開關ZVS模式下)。當LLC轉換器工作在fs=1(對于分立諧振回路解決方案而言)的狀態下時,它的增益由變壓器的匝數比來給定。從效率和EMI的角度來講,這個工作點最具吸引力,因為正弦初級電流、MOSFET和次級二極管都得到優化利用。該工作點只能在特定的工作電壓和負載條件下達到(通常是在滿載和額定Vbulk電壓時)。
增益特性曲線的波形及所需的工作頻率范圍由如下參數來確定:Lm/Ls比(即k)、諧振回路的特征阻抗、負載值和變壓器的匝數比。可以使用PSpice、Icap4等任意仿真軟件來進行基波近似和AC仿真。
對于LLC諧振轉換器而言,滿載時品質因數Q和Lm/Ls的恰當選擇是其設計的關鍵。這方面的選擇將影響到如下轉換器特性:
1、輸出電壓穩壓所需的工作頻率范圍
2、線路和負載穩壓范圍
3、諧振回路中循環能量的大小
4、轉換器的效率
在設計當中,如果想要優化在滿載狀態時的Q和K,就要確定如下幾個因素:效率、線路、負載穩壓范圍。品質因數Q直接取決于負載,它是由滿載條件下的諧振電感Ls和諧振電容CS確定的。Q因數越高,就導致工作頻率范圍Fop越大。Q值較高及給定負載時,特征阻抗就必須較低,因為低Q會導致穩壓能力下降,且Q值很低的情況下LLC增益特性會退化到SRC。
而在k=Lm/Ls方面,它決定了勵磁電感中存儲多少能量。k值越高,轉換器的勵磁電流和增益也就越低;且k因數越大,所需的穩壓頻率范圍也就越大。
在實踐中,Ls(如集成變壓器解決方案的漏電感)只能在有限的范圍內取值,而且是由變壓器的構造(針對所需的功率等級)和匝數比決定。然后,Q因數的計算由所需的額定工作頻率fs確定。這之后,k因數也必須計算出來,以確保輸出電壓穩壓(帶有線路和負載變化)所需的增益。而在設定k因數時,可以讓轉換器在輕載時無法維持穩壓——可以方便地使用跳周期模式來降低空載功耗。
[page]
半橋LLC諧振電容和諧振電感的配置
單諧振電容和分體諧振電容都存在于半橋轉換器當中。如圖1所示。對于單諧振電容配置而言,它的輸入電流紋波和均方根(RMS)值較高,而且流經諧振電容的均方根電流較大。這種方案需要耐高壓(600~1,500V)的諧振電容。不過,這種方案也存在尺寸小、布線簡單等優點。

圖2:半橋LLC轉換器的兩種不同配置
分體諧振電容相較于單個諧振電容而言,其輸入電流紋波和均方根值較小。諧振電容僅處理一半的均方根電流,且所用電容的電容量僅為單諧振電容的一半。當利用鉗位二極管(D3和D4)進行簡單、廉價的過載保護時,這種方案中,諧振電容可以采用450V較低額定電壓工作。
顧名思義,半橋LLC轉換器中包含2個電感(勵磁電感Lm和串聯的諧振電感Ls)。根據諧振電感位置的不同,諧振回路也包括兩種不同的配置,一種為分立解決方案,另一種為集成解決方案。這兩種解決方案各有其優缺點,采用這兩種方案的LLC的工作方式也有輕微差別。
將諧振電感安裝在變壓器外面是有目地的。其能夠幫助設計者提高設計的靈活性,令設計人員可以靈活設置Ls和Lm的值;此外,EMI幅射也更低。不過,這種解決方案的缺點在于,變壓器初級和次級繞組間的絕緣變得復雜,并且繞組的冷卻條件變差,并需要組裝更多元件。

圖3:諧振儲能元件的兩種不同配置
在另一種集成的解決方案中,變壓器的漏電感被用作諧振電感(LLK=LS)。這種解決方案只需1個磁性元件,而且會使得開關電源的尺寸更小。此外,變壓器繞組的冷卻條件更好,且初級和次級繞組之間可以方便地實現絕緣。不過,這種解決方案的靈活性相對較差(可用的LS電感范圍有限),且其EMI幅射更強,而初級和次級繞組之間存在較強的鄰近效應。
相關閱讀:
福利到!半橋高頻變壓器電路及波形
【詳解】單相半橋逆變原理
對軟開關半橋DC-DC變換器的PWM控制策略分析
相關閱讀:
福利到!半橋高頻變壓器電路及波形
【詳解】單相半橋逆變原理
對軟開關半橋DC-DC變換器的PWM控制策略分析






