- 直流永磁無刷電動機的轉矩特性
- 電機運行中產生脈動轉矩的原因
- 針對換相電流引起轉矩脈動進行優化設計
- 電磁和齒槽引起的轉矩脈動以優化電機的設計來解決
- 通過電流補償法來減小電機在換相過程中電流引起的轉矩脈動
直流永磁無刷電動機由于其結構簡單、可靠性高、低速大扭矩等特點而得到了越來越廣泛的應用,尤其是近年來在電動自行車中得到了廣泛應用。由于電動自行車是人們的日常代步工具,因此人們對整車的啟動平穩性,噪音等指標提出了較高的要求。現有電動車電機大部分采用直流永磁無刷電機,電機的鐵芯為直槽結構,繞組為三相星形連接,逆變器一般工作在兩兩導通狀態。由于直槽電機在工作時扭矩波動較大,因此我們必須優化電機的結構并配合經過優化設計的控制器才能獲得比較滿意的效果。本文就如何設計直流永磁無刷電機超靜音控制器作一些探討。
2. 直流永磁無刷電動機的轉矩脈動分析
永磁無刷電動機由于電磁因素、齒槽的影響、電流換向、電樞反應等會產生較強的脈動轉矩。在設計電機和相應的控制系統時應認真考慮,采取措施,避免轉矩脈動過大。
2.1電磁因素引起的轉矩脈動
電磁轉矩脈動是由于定子電流和轉子磁場相互作用而產生的轉矩脈動,它與電流波形、反電動勢波形、氣隙磁通密度的分布有直接關系。理想情況下,定子電流為方波,反電動勢波形為梯形波,平頂寬度為120°電角度,電磁轉矩為恒值。而實際電機中,由于設計和制造方面的原因,可能使反電動勢波形不是梯形波,或波頂寬度不為120°電角度,這樣就會造成電機的扭矩脈動。
2.2齒槽引起的轉矩脈動
由于定子鐵心槽齒的存在,使得永磁體與對應的電樞表面的氣隙磁導不均勻,當轉子旋轉時,使得在一個磁狀態內,磁路磁阻發生變化,從而引起轉矩脈動。齒槽引起的轉矩脈動是轉子磁場相互作用產生的,與定子電流無關。因此抑制由齒槽引起的轉矩脈動的主要集中于優化電機設計上,如斜槽法。
2.3電流換向引起的轉矩脈動

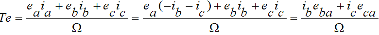
圖1為電動車電機控制系統的框圖,控制器工作在兩兩導通的狀態。每隔60°電角度MOSFET換一次相。假如當前為Q1和Q5導通,則經過60°電角度,Q1和Q6導通。在Q1,Q5導通期間,電流流經AB線圈,換相后電流流經AC線圈。由于電機的線圈為電感,在切換過程中,B相的電流會以指數下降,C相的電流會以指數上升。當Q5關斷后,AB相線圈的電流經過Q1→AB相線圈→Q2的體二極管續流,AB相線圈電流很快衰減為零,但是AC相的電流就需要相對較長的時間才能上升到換相前的大小。因此電機的電流出現較大的脈動。如圖2a中的CH3所示。其中的電流脈動已達到12A。換相期間的電磁轉矩為:

由于換相時間很短,可近似認為ebaeca , 在換相區域內不變化,因此扭矩與電流成正比關系,電流的波動直接導致了電機轉矩的波動。在低速大負載運行的情況下,電機的轉矩脈動尤為明顯。
在直流無刷永磁電機的轉矩脈動原因中,前兩種主要靠優化電機的設計來達到目的,對于第3種轉矩脈動,我們可以通過電流補償法來減小電機在換相過程中的轉矩脈動。本文將重點介紹這種方法。

[page]
3.電流補償法減小電機的轉矩脈動
由于在低速大負載運行時,電機的旋轉反電勢很小,為了使電機的相電流不超過允許的最大值,PWM占空比通常比較小,這使得換相后新的相繞組電流上升緩慢。圖3中是電機換相時的電流仿真波形。電機兩相之間的電感為Lm=0.4mH,內阻Rm=0.28歐姆(實際電機的參數)。采用AOS(萬代半導體)生產的AOT460 MOSFET進行仿真。MOSFET的PSPICE模型采用level3等級。由圖3中可以看出,如果PWM占空比為30%,則電流由零上升到30A需要約1.3ms。這與圖2a中實測的波形相仿。為了使換相后電流迅速上升,我們可以使換相后PWM占空比為100%來對電流進行補償,直到電流上升到換相前的電流值,這樣可以使換相電流的波動盡可能的小,時間盡可能地短。由仿真波形中I2可以看出,電流上升到30A的時間小于300us。

4.控制系統的設計
如何精準控制換相后的補償電流,即如何精確控制PWM100%占空比的時間是超靜音控制器設計的關鍵!這就要求控制系統的MCU具有以下的特點:
1) 有很快的A/D轉換速度,能夠在換相后連續快速采樣;
2) 能夠在PWM的開通期間特定時刻觸發A/D采樣;因為在PWM逆變器帶感性負載的控制系統中,由于系統的一些寄生參數導致PWM在開通和關斷期間電機的相線上出現振鈴(如圖4所示),這些振鈴會耦合到A/D采樣的回路中,因此我們應避開在PWM開關過程中進行A/D采樣。如果我們在PWM開通期間的中點觸發電流采樣,我們將會得到電流的平均值,這將有利于我們對電流補償的控制。

事實上,找到這樣的MCU并不難,譬如英飛凌的馬達專用控制芯片XC866,CYPRESS的片上可編程控制芯片CY8C24533等。XC866的A/D轉換速度可以達到2us以內,加上程序的執行時間,一次A/D轉換需要的總時間在8us以內,以這樣的時間間隔來判斷電流補償是否完成已經足夠。CY8C24533是CYPRESS專為電機控制開發的帶高速A/D的芯片,其SAR8轉換速度可以達到3us以內,加上其自動對齊觸發A/D模式,可以在PWM的任意時刻觸發電流A/D采樣,我們也很容易實現對電流的精準控制。
圖2b是采用XC866控制芯片的系統在經過上述方法優化后測得的換相電流波形,由圖2b可以看出,換相時的電流脈動基本消除,電機的相電流基本接近方波。用了這套控制系統的電動車,起步加速以及運行時的電機震動已基本消除,實現了超靜音控制器的設計。
5. 結語
通過選用合適的MCU實現高速可觸發A/D采樣,對永磁無刷電機換相時的電流進行精準補償,可以達到消除換相電流脈動,減輕電機振動的效果。


