中心議題:
- 電感的特點
- 降壓型開關電源的電感選擇
- 升壓型開關電源的電感選擇
解決方案:
- 計算降壓型開關電源的電感值
- 計算升壓型開關電源的電感值
電感是開關電源中常用的元件,由于它的電流、電壓相位不同,所以理論上損耗為零。電感常為儲能元件,也常與電容一起用在輸入濾波和輸出濾波電路上, 用來平滑電流。電感也被稱為扼流圈,特點是流過其上的電流有“很大的慣性”。換句話說,由于磁通連續特性,電感上的電流必須是連續的,否則將會產生很大的電壓尖峰。
電感為磁性元件,自然有磁飽和的問題。有的應用允許電感飽和,有的應用允許電感從一定電流值開始進入飽和, 也有的應用不允許電感出現飽和,這要求在具體線路中進行區分。大多數情況下,電感工作在“線性區”,此時電感值為一常數,不隨著端電壓與電流而變化。但是,開關電源存在一個不可忽視的問題,即電感的繞線將導致兩個分布參數(或寄生參數),一個是不可避免的繞線電阻,另一個是與繞制工藝、材料有關的分布式雜散電容。雜散電容在低頻時影響不大,但隨頻率的提高而漸顯出來,當頻率高到某個值以上時,電感也許變成電容特性了。如果將雜散電容“集中”為一個電容, 則從電感的等效電路可以看出在某一頻率后所呈現的電容特性。
當分析電感在線路中的工作狀況或者繪制電壓電流波形圖時,不妨考慮下面幾個特點:
1. 當電感L中有電流I流過時,電感儲存的能量為: E=0.5×L×I2 (1)
2. 在一個開關周期中,電感電流的變化(紋波電流峰峰值)與電感兩端電壓的關系為:V=(L×di)/dt (2)
由此可看出,紋波電流的大小跟電感值有關。
3. 就像電容有充、放電電流一樣,電感器也有充、放電電壓過程。電容上的電壓與電流的積分(安·秒)成正比,電感上的電流與電壓的積分(伏·秒)成正比。只要電感電壓變化,電流變化率di/dt也將變化;正向電壓使電流線性上升,反向電壓使電流線性下降。
計算出正確的電感值對選用合適的電感和輸出電容以獲得最小的輸出電壓紋波而言非常重要。
從圖1可以看出,流過開關電源電感器的電流由交流和直流兩種分量組成,因為交流分量具有較高的頻率,所以它會通過輸出電容流入地,產生相應的輸出紋波電壓dv=di×RESR。這個紋波電壓應盡可能低,以免影響電源系統的正常操作,一般要求峰峰值為10mV~500mV。

紋波電流的大小同樣會影響電感器和輸出電容的尺寸,紋波電流一般設定為最大輸出電流的10%~30%,因此對降壓型電源來說,流過電感的電流峰值比電源輸出電流大5%~15%。
[page]
降壓型開關電源的電感選擇
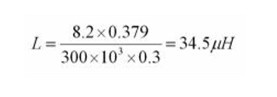
為降壓型開關電源選擇電感器時,需要確定最大輸入電壓、輸出電壓、電源開關頻率、最大紋波電流、占空比。下面以圖2為例說明降壓型開關電源電感值的計算,首先假設開關頻率為300kHz、輸入電壓范圍12V±10%、輸出電流為1A、最大紋波電流300mA。

最大輸入電壓值為13.2V,對應的占空比為:D=Vo/Vi=5/13.2=0.379 (3)
其中,Vo為輸出電壓、Vi為輸出電壓。當開關管導通時,電感器上的電壓為: V=Vi-Vo=8.2V (4)
當開關管關斷時,電感器上的電壓為:
V=-Vo-Vd=-5.3V (5)
dt=D/F (6)
把公式2/3/6代入公式2得出:

升壓型開關電源的電感選擇
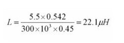
對于升壓型開關電源的電感值計算,除了占空比與電感電壓的關系式有所改變外,其它過程跟降壓型開關電源的計算方式一樣。以圖3為例進行計算,假設開關頻率為 300kHz、輸入電壓范圍5V±10%、輸出電流為500mA、效率為80%,則最大紋波電流為450mA,對應的占空比為:D=1-Vi/Vo=1-5.5/12=0.542 (7)

當開關管導通時,電感器上的電壓為:V=Vi=5.5V (8)
當開關管關斷時,電感器上的電壓為:V=Vo+Vd-Vi=6.8V (9)
把公式6/7/8代入公式2得出:

請注意,升壓電源與降壓電源不同,前者的負載電流并不是一直由電感電流提供。當開關管導通時,電感電流經過開關管流入地,而負載電流由輸出電容提供,因此輸 出電容必須有足夠大的儲能容量來提供這一期間負載所需的電流。但在開關管關斷期間,流經電感的電流除了提供給負載,還給輸出電容充電。
一般而言,電感值變大,輸出紋波會變小,但電源的動態響應也會相應變差,所以電感值的選取可以根據電路的具體應用要求來調整以達到最理想效果。開關頻率的提 高可以讓電感值變小,從而讓電感的物理尺寸變小,節省電路板空間,因此目前的開關電源有往高頻發展的趨勢,以適應電子產品的體積越來越小的要求。





