前章小編為大家介紹的是《單激式開關電源的基本電路》,接下來將給大家帶來是“漏感與分布電容對輸出波形的影響”相關知識中的兩個精華的方面:對漏感與分布電容的影響進行數學分析;電源開關管的過壓保護電路。具體專業知識大家請詳見以下內容!
對漏感與分布電容的影響進行數學分析
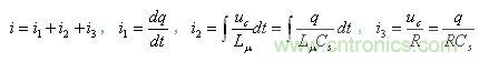
圖4中,當電源開關管Q1導通時,設輸入電壓為U,流過Ls的電流為 i,流過Cs的電流為i1 ,流過Lu 的電流為i2 ,流過R的電流為i3 ,Cs存儲的電荷為q,如果忽略Lds的作用,則列出回路方程為:

由于
;其中, uc為Cs兩端的電壓。對電流進行微分即可得到:

把【1-10】代入【1-9】式可得:

【1-11】是一個非齊次二階微分方程。我們知道,非齊次二階微分方程的解等于其齊次微分方程的解與非齊次二階微分方程特解的和,其齊次微分方程為:

【1-12】式表示,電容Cs充滿電后,輸入電壓等于0時電容兩端電壓或存儲電荷隨時間變化的過程。對【1-12】式求解,需要先求解其特征方程,其特征方程為:

由此求得其特征方程的解為:

[page]
如果我們直接用【1-14】式來求解【1-10】式,結果將會變得非常復雜。由于,
,這也是電路產生諧振的基本條件,所以【1-14】式可以簡化為:

由此求得:

上式中,
為衰減指數因子,
為分布電容Cs與漏感Ls產生串聯振蕩的角頻率。
由此可以求出齊次微分方程【1-12】式的通解為:

上式中, e-at為衰減系數,它是一個隨時間變化的函數,A1 、A2 為待定系數。
前面已經指出,齊次微分方程【1-12】式僅表示電容Cs充滿電后,輸入電壓等于0時,電容兩端電壓或存儲電荷隨時間變化的過程,即,當t = 0時,q從最大值開始隨時間變化的過程。但齊次微分方程【1-12】式并不完全表示電容Cs充、放電的全過程,我們仔細觀察【1-17】式便知:在LC電路中,當t = 0時,如果q 為最大值,電容一定是按余弦規律放電;如果 q為最小值,則電容一定是按正弦規律充電。因此,我們還需要根據初始條件來對【1-10】非齊次微分方程式進一步求解。
當電源開關管Q1導通時,輸入電壓才開始對電容Cs充電,Cs電容兩端的電壓不可能被充滿電;因此,當 t = 0時,電容Cs兩端的電壓等于0,由此可知,【1-17】式中的A1=0 ,因此,【1-17】式可以改寫為:

另外,非齊次微分方程(【1-11】)式的解應該等于齊次微分方程【1-12】式的通解與【1-11】式特解之和。
為求特解,我們先來觀察【1-11】和【1-12】式,分析它們之間的特征,然后用代入法來求解。設【1-11】式的特征解為:
,則求得,
;把結果代入【1-11】式,即可求得【1-11】式的特解為:

上式中的電壓 Uc實際上就是電容Cs兩端電壓的半波平均值Upa。它等于輸入電壓U在漏感Ls 與勵磁電感Lu 組成的串聯電路中勵磁電感 Lu兩端的分壓的半波平均值。由于漏感 Ls與勵磁電感Lu 相比非常小,因此,可以把 Uc看成與輸入電壓U基本相等。
[page]
因此,非齊次微分方程【1-11】式的解為:

上式中,A為待定系數,e-at為正弦波的振幅, Uc為一個小于1的隨時間減小的衰減系數。由于Uc 等于電容Cs兩端電壓的半波平均值Upa,因此A的最大振幅就是Uc,即:A=Uc ,由此可以求得【1-11】式微分方程的解為:

【1-21】式是當電源開關管Q1導通時,分布電容Cs兩端電壓隨時間變化的表達式,它由兩部分電壓組成,一部分是電容Cs兩端電壓的半波平均值Uc ,由【1-19】式表示;另一部分是正弦阻尼振蕩,其最大振幅等于 Uc, e-at是一個小于1的衰減系數。
由【1-21】式可以看出,等效負載電阻R的值和分布電容Cs的值越大,衰減指數因子的值就越小,而衰減系數的值就越接近1。
對于一個功率大約為100瓦的開關變壓器,其初級線圈的分布電容大約在100~2000微微法之間,如果把次級線圈的分別電容也考慮進去,總的分布電容可能要大一倍。假設開關變壓器初級線圈的等效分布電容Cs為1000P,漏感 Ls為30uH,根據【1-16】式可求得振蕩頻率約等于900kHz。此振蕩波形會迭加到變壓器次級線圈的輸出電壓之中,使輸出脈沖波形的前后沿產生嚴重失真,即:脈沖電壓的前沿上升率降低,并產生過沖或振鈴,脈沖電壓的后沿產生過沖或振鈴;當負載較輕時,振鈴振幅很強,會造成很強的EMI輻射干擾。
圖6-b是當電源開關管Q1導通到關斷時,分布電容Cs兩端電壓uc 的波形。在圖6-b中,當電源開關管Q1導通的瞬間,即t = t0~t1時刻,輸入電壓由0突然上升到U,但由于分布電感Ls的存在,分布電容Cs兩端的電壓uc 并不能像輸入電壓(方波)那樣,uc由0突然升到U,因為 uc電壓的上升率不但要受到分布電感Ls的限制,同時也要受到電源開關管導通速度的限制,即:分布電容Cs開始被輸入電壓U充電時,其兩端電壓uc 的上升率除了受到L、R、C等元件的時間常數影響外,還要受到電源開關管導通速度的影響。
另外,LC諧振電路的振蕩幅度對于正激式開關電源和反激式開關電源是不同的。對于正激式開關電源,當電源開關管Q1導通的時候,開關變壓器要向負載輸出能量,其等效負載電阻R的值相對比較小,衰減系數相對也比較小,因此,LC振蕩被阻尼就比較厲害,振蕩幅度下降就比較快。一般當第一個振蕩周期過后,LC回路就很難再振蕩起來。
對于反激式開關電源,當電源開關管Q1導通的時候,開關變壓器只是存儲能量,沒有能量輸出,因此,等效負載電阻R的值相對比較大,衰減系數相對比較大(約等于1);此時,LC振蕩的波形與等幅振蕩的波形比較接近,其最大振蕩幅度Um約等于分布電容Cs兩端電壓的半波平均值Uc ,即:分布電容Cs兩端電壓uc 的峰值電壓Up約等于輸入電壓U的2倍。請參考圖6-b。
我們從【1-21】式以及圖3和圖4可以看出:當電源開關管Q1導通時,分布電容Cs兩端電壓 uc(也是勵磁電感Lu 兩端的電壓),由一個最大振幅約等于輸入電壓U的正弦振蕩電壓與一個分布電容Cs兩端電壓的半波平均值Uc 迭加。
當電源開關管Q1關斷瞬間,即t = t10~t11時刻,開關變壓器初級線圈的電流回路突然被切斷,原來存儲于Ls 、Cs、Lu 中的能量,只能通過等效負載R和電源開關管的內阻(分布電容Cds)進行充電來釋放。
由于圖3等效電路中的各元器件參數,在電源開關管導通期間(圖4)和關斷期間(圖5)都不一樣,因此,【1-21】式的計算結果只適用于開關管導通期間分布電容Cs兩端電壓,或通過【1-21】式求流漏感Ls 的電流。而當電源開關管Q1關斷時,由于開關變壓器次級線圈整流濾波電路被接通(反激式開關電源),等效負載電阻R突然會變小,此時,LC振蕩主要在漏感Ls 和電源開關管的分布電容Cds組成的充放電回路中進行。
由于Cds為開關管內部的擴散電容,屬于電阻性質,當開關管完全關斷之后,阻值為無限大,漏感 Ls產生的反電動勢 es只會對Cds進行充電(通過開關管的內阻釋放能量),而Cds不會對漏感 Ls進行反充電;因此,當漏感Ls 儲存的能量釋放完后,其后續振蕩過程也不會再發生。
當開關管完全關斷時(圖5),加于分布電容Cds兩端的電壓,正好是輸入電壓U與漏感 產生的反電動勢電壓es 和勵磁電感 Ls產生的反電動勢電壓eu 三者之和。因此,當開關管關斷時,在開關管的D、S極之間會產生很高的尖峰脈沖電壓。為了防止尖峰脈沖把開關管的漏極與源極擊穿,在實際應用中,一般都要對開關管采取過壓保護措施。
[page]
電源開關管的過壓保護電路
在單激式開關電源中,無論是正激式還是反激式開關電源,都要求對電源開關管采取過壓保護,以防止當開關管突然關斷瞬間,開關變壓初級線圈產生的反激脈沖尖峰電壓與輸入電壓進行迭加后,加到電源開關管的D、S極兩端,把電源開關管擊穿。
為了防止電源開關管擊穿,圖7是一種抑制反激脈沖尖峰電壓,對電源開關管具有過壓保護作用的RCD尖峰脈沖吸收電路。之所以把它稱為RCD尖峰脈沖吸收電路,因圖中主要器件由R、C、D組成。
為了分析方便,我們把開關變壓器等效成一個理想的(漏感等于0的)開關變壓器T與一個漏感Ls相串聯,把開關變壓器初級線圈N1產生勵磁作用的電感Lu 稱為勵磁電感;分布電容Cs為開關變壓器初線圈的分布電容與次級線圈的分布電容等效到初線圈后,總的等效電容。

在圖7中,當電源開關管Q1關斷時,開關變壓器初級線圈產生的反激電壓脈沖(包括漏感產生的反激電壓脈沖)將會與輸入電壓U迭加,同時加到電源開關管Q1的D、S極兩端,此時,整流二極管D將導通,并對C進行充電;C的作用就是把加到開關管D、S極兩端的尖峰脈沖電壓加以吸收,以防止開關管被尖峰脈沖電壓擊穿;而R的作用是把C吸收尖峰脈沖電壓產生的積累電荷泄放掉,為下一次尖峰脈沖的吸收做好準備,否則,經過多個尖峰脈沖電壓吸收之后,電容積累的電荷將會越來越多,其兩端電壓也會越來越高,最后將會失去吸收尖峰脈沖的作用。
值得注意的是,當電源開關管Q1關斷時,由于變壓器次級線圈整流濾波電路D2和C2的接入,開關變壓器初、次級線圈的等效分布電容Cs相對于濾波電容C2來說,其作用將變得微不足道;此時,由于輸出電壓Uo通過變壓器初、次級線圈的耦合和反射作用,使得變壓器初級線圈產生的反電動勢電壓eu 完全被鉗制在一個與次級輸出電壓Uo成正比的數值上,即:
![]()
另外,由于開關管Q1兩端的等效分布電容Cds并不是一個純電容,而實際上是一個阻抗由小到大,其阻抗變化過程類似于電容充電的可變電阻,它只吸收能量,而不會釋放能量。
當它兩端的電壓Uds高于電容C兩端的電壓之后,即,整流二極管D導通之后,分布電容Cds的作用就完全變成了一個分流電阻Rds。此時,流過電阻Rds的電流越大,開關管的損耗也越大,適當選擇圖7中電容C的容量和電阻R的阻值,可以減小流過電阻Rds(開關管關斷過程中的等效電阻)的電流,從而可以降低開關管的損耗。
換一句話說,RCD尖峰脈沖吸收電路對開關管進行過壓保護,就是通過電容C和電阻R對流過電源開關管(Rds)的電流進行分流來實現的;RCD尖峰脈沖吸收電路,不但可以降低開關管漏極與源極兩端的峰值電壓,還可以降低開關管的損耗。
PS:關于“電源開關管保護電路參數的計算;RCD尖峰脈沖吸收電路參數計算舉例”。將會在后面一一奉獻!請大家關注本站更新!
畫外音!小編在這里提前祝大家元宵節,情人節雙節快樂!
【連載】陶顯芳老師談開關變壓器的工作原理與設計:
陶老師精講:單激式開關電源的基本電路
http://m.jinyixuan88.cn/power-art/80022281
線圈電感量的計算及幾種典型電感介紹
http://m.jinyixuan88.cn/power-art/80022174
開關變壓器的漏感工作原理及計算
http://m.jinyixuan88.cn/power-art/80022173
開關變壓器鐵芯脈沖導磁率與平均導磁率的測量
http://m.jinyixuan88.cn/power-art/80022172
雙激式開關變壓器鐵芯磁滯損耗、渦流損耗的測量
http://m.jinyixuan88.cn/power-art/80022171
單激式開關變壓器鐵芯磁滯損耗、渦流損耗的測量
http://m.jinyixuan88.cn/power-art/80022170


