【導讀】工作中是一種常用元器件,尤其是在設計方案中經常用到。尤其是6脈沖可控硅整流器和12脈沖可控硅整流器有什么不同之處?本文就有小編帶你一起,從原理入手簡析6脈沖可控硅整流器和12脈沖可控硅整流器之間的不同之處。
首先要為大家介紹的是6脈沖可控硅整流器的運行工作原理。這里所謂的6脈沖,指的是以6個可控硅組成的全橋整流,由于有6個開關脈沖對6個可控硅分別控制,所以我們一般稱之為6脈沖整流。這種6脈沖整流器的基礎結構如圖1所示。

圖1 6脈沖整流器

這里我們以圖1所示的6脈沖整流器運行結構為基礎,來對它的運行特點進行簡要分析。我們暫時忽略三相橋式可控硅整流電路換相過程和電流脈動,假定交流側電抗為零,直流電感為無窮大,延遲觸發角a為零,則交流側電流傅里葉級數展開可以計公式為:
由上文中的公式,我們可以得出以下一個結論,那就是在6脈沖整流器的電流中,含6K(k為正整數)次諧波,即5、7、11、13...等各次諧波,各次諧波的有效值與諧波次數成反比,且與基波有效值的比值為諧波次數的倒數。

圖 2 計算機仿真的6脈沖A相的輸入電壓、電流波形
依據對上文中兩個公式的計算,我們可以得出結論,那就是在12脈沖可控硅整流器運行過程中,兩個整流橋產生的5、7、17、19、...次諧波相互抵消,注入電網的只有12k次諧波,即11、13、23、25等各次諧波,且其有效值與與諧波次數成反比,而與基波有效值的比值為諧波次數的倒數。

圖3 12脈沖整流器示意圖(由2個6脈沖并聯組成)
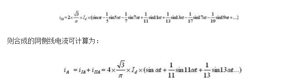
在這種12脈沖的可控硅整流器運行過程中,其本身橋1的網側電流傅立葉級數展開可得出公式為:

由此可見,在12脈沖的可控硅整流器運行過程中,兩個整流橋產生的5、7、17、19、...次諧波相互抵消,注入電網的只有12k(k為正整數)次諧波,即11、13、23、25等各次諧波,且其有效值與與諧波次數成反比,而與基波有效值的比值為諧波次數的倒數。

圖4 計算機仿真的12脈沖UPSA相的輸入電壓、電流波形
以上就是本文針對兩種可控硅整流器的運行原理,所進行的簡要分析和介紹,希望能夠對各位工程師的研發設計工作有所幫助。
相關閱讀:
判斷可控硅質量的好壞只需4招
造成可控硅調光LED閃爍的幾點因素
電路設計:可控硅移相電路的設計






