【導讀】本文這里將在傳統壓力傳感器中使用一種新原理一介觀壓阻效應口,即在共振隧穿電壓附近,通過4個物理過程,將一個微弱的力學信號轉化為一個較強的電學信號。從理論上證明了介觀壓阻效應原理可以提高壓力傳感器的靈敏度,擴大其測量頻率的范圍。
介觀壓阻效應及GaAs,AlAs/InGaAsDBRT結構薄膜
介觀壓阻效應的定義為“等效電阻的應力調制”,等效電阻是對共振隧效應的一種具體描述。由4個物理過程組成:①在力學信號下,納米結構中的應力分布將發生變化;②一定條件下應力變化可引起內建電場的產生;③內建電場將導致納米帶結構中量子能級發生變化;④量子能級變化會引起共振隧穿電流變化。簡言之,在共振隧穿附近,通過上述過程,可將一個微弱的力學信號轉化。為一個較強的電學信號,體現出較大的壓阻系數。這里所用的介觀壓阻效應元件為GaAs/A1As/InGaAs DBRT結構薄膜納米級窄帶隙材料。隨著外部壓力引起的拉伸應變的變化(如圖1所示),DBRT結構的共振隧穿電流和阻抗顯著變化。并且,阻抗應變輸出可由外部電壓有效調節。其優點是靈敏度高、靈敏度可調、靈敏度隨溫度變化小。
圖1:量子阱外加偏壓前后示意圖
傳感器結構設計及力學分析
所設計的壓阻式壓力微傳感器,其制法是將N型硅腐蝕成厚10~25μm的膜片,并在一面擴散了4個阻值相等的P型電阻。硅膜片周邊用硅杯固定,則當膜片兩面有壓力差時,膜片即發生變形,從而導致電阻變化。用微電路檢測出這種電阻變化,通過計算即可得出壓力變化如圖2所示。
圖2:周邊固支圓平膜片傳感器示意圖
計算時假設:小撓度理論;壓力是均勻作用于平膜片表面。由平膜片的應力計算公式可知:
當r<0.635R時,σ>0;
同樣,當r=0.812R時,σT=0,且σr<0,如圖3所示。在圓形硅膜片上,沿[110]晶向,在0.635R半徑內外各擴散2個電阻,并適當安排擴散的位置,使得σn=一σro,則有(△R/R)i=一(△R/R)
圖3:周邊固支圓平膜片表面應力示意圖
這樣即可組成差動全橋電路,測出壓力P的變化。式中σri,σro分別為內、外電阻上所受徑向力的平均值;(△R/R)i,(△R/R)分別為內、外電阻的相對變化。
根據膜的結構與應力計算公式,推出被測壓力與應變片測出的應變關系:
式中:μ為硅材料的泊松比,μ=O.35;R,r,h分別為硅膜片的有效半徑,計算半徑,厚度;E為硅材料的模量,E=8.7Gpa;P為作用于平膜片上的壓力;ω為平膜片的撓度;
經過分析,綜合考慮設計的要求,初步設定:h=20μm,R=200μm。其固有頻率可以按下式計算:
傳感器的性能分析與計算
使用介觀壓阻效應原理代替壓阻原理來檢測壓力,將圓膜片上的的壓敏電阻換成GaAs/A1As/InGaAs DBRT結構薄膜。用傳遞矩陣法計算該薄膜在沿生長方向的應力變化下的輸出響應,通過整個結構的隧穿電流密度可表示為:
![]()
式中:e為電子電荷的大小,m*為GoAs電子的有效質量,kB為玻爾茲曼常數,T為絕對溫度,EF為費米能級,E1為入射電子垂直(縱向)能量。
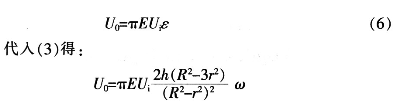
傳感器的輸出為:
設偏壓為0.75 V設偏壓為0.75 V,電橋的激勵電壓為2.5 V的情況下,該傳感器的靈敏度S為:
![]()

圖4:不同拉伸應變下偏壓對隧道電流的影響
結語
該結構的壓力微傳感器由于敏感元件與變換元件一體化,尺寸小,其固有頻率很高,可以測量頻率范圍很寬的脈動壓力。在不同的偏壓下,該傳感器的靈敏度不同。說明靈敏度可調節。同樣結構的微壓力傳感器,如果敏感元件是硅或銅鎳合金壓敏電阻,其靈敏度分別為0.38x104V/m和O.17×104V/m。可見采用共振隧穿二極管做為敏感元件的微壓力傳感器其靈敏度較之傳統的傳感器得到了很大的提高。



