【導讀】MEMS陀螺儀提供了一種簡單的旋轉角速率測量方法,其所在的封裝很容易安裝到印刷電路板上。因此,在許多不同類型的運動控制系統中,它們都是反饋檢測元件的常見選擇。
在一系列應用中,角速率信號(MEMS陀螺儀輸出)中的噪聲會直接影響系統的關鍵特性(如平臺穩定性),且常常是控制系統能夠支持的精度水平的決定性因素。所以,當系統架構師和開發者定義和開發新的運動控制系統時,低噪聲是一個很自然的價值導向。更進一步,把關鍵的系統級標準(如指向精度)轉化為噪聲指標(MEMS陀螺儀數據手冊常常會提 供這些指標),是早期概念和架構設計工作的一個極重要的部分。了解系統對陀螺儀噪聲特性的依賴性會產生多方面好 處,例如能夠確定反饋檢測元件的相關要求,或者相反,分析系統對特定陀螺儀中噪聲的響應。一旦系統設計者充分了 解這種關系,它們便能從兩個重要方面來掌控角速率反饋環路中的噪聲影響:1. 制定最合適的MEMS陀螺儀選擇標準;2. 在傳感器的集成過程中保持其噪聲性能不變。
運動控制基礎
為了弄清MEMS陀螺儀噪聲特性與其對系統關鍵特性的影響之間的關系,第一步常常是要對系統工作原理有一個基本了解。圖1是一個運動控制系統架構示例,其中關鍵的系統元素被拆分為多個功能模塊。此類系統的功能目標是為對慣性運動敏感的人員或設備創建一個穩定的平臺。應用實例之一是用于自主駕駛車輛平臺上的微波天線,車輛在惡劣的條件下機動行駛,車速可能會引起車輛方向突然變化。若不能實時控制指向角度,當發生此類慣性運動時,這些高指向性天線可能無法支持連續通信。

圖1. 運動控制系統架構示例。
反饋環路圖1. 運動控制系統架構示例。從MEMS陀螺儀開始,其在穩定平臺上觀測旋轉速率 (φG)。陀螺儀的角速率信號饋入專用數字信號處理部分,其包括濾波、校準、對齊和積分,以產生實時方向反饋 (φE)。伺服電機的控制信號 (φCOR) 來自此反饋信號與指示方向 (φCMD) 的比較,而指示方向可來自一個中央任務處理系統,或者代表一個支持平臺上的設備以理想方式運行的方向。
應用示例
圖1顯示了運動控制系統的架構視圖,分析應用特定的物理性質也能得出有價值的定義和見解。考慮圖2中的系統,它是生產線自動檢查系統的概念視圖。該攝像頭系統檢查輸送帶上移入移出其視場的物件。在這種配置中,攝像頭通過一根長支架固定于天花板;針對攝像頭要檢查的對象大小,攝像頭通過支架所決定的高度(參見圖2中的D)來優化其視場。工廠中全是各種機器和其他作業,因此,攝像頭會不時地發生 擺動(參見圖2中的φSW(t)),這可能引起檢查圖像的失真。圖中的紅色虛線是此擺動引起的總角向誤差 (±φSW) 的夸大視圖,綠色虛線表示能夠支持系統圖像質量目標的角向誤差水平 (±φRE)。圖2中的視圖利用檢查表面上的線性位移誤差(dSW、dRE)定義系統級關鍵指標(圖像失真)。這些性質與攝像頭高度 (D) 和角向誤差項(?SW、φRE)之間有著簡單的三 角函數關系,如公式1所示。

圖2. 工業攝像頭檢查系統。
對于此類系統,最適合的運動控制技術是所謂圖像穩定化技術。早期圖像穩定系統使用基于陀螺儀的反饋系統來驅動伺服電機,進而調整圖像傳感器在快門開啟期間的方向。MEMS技術的出現掀起了一場革命,幫助降低了這些功能的尺寸、成本和功耗,導致該技術廣泛用于當今的數字攝像頭。得益于數字圖像處理技術(其算法中仍然使用基于MEMS的角速率測量)的進步,許多應用已不再使用伺服電 機。無論圖像穩定是由伺服電機實現,還是通過對圖像文件的數字后處理實現,陀螺儀的基本功能(反饋檢測)依然未 變,其噪聲影響也仍然存在。為簡明起見,本討論將聚焦于經典方法(圖像傳感器上的伺服電機)來考察相關度最高的 噪聲基本原理,以及它們與此類應用最重要的物理性質之間的關系。
角向隨機游動 (ARW)
所有MEMS陀螺儀的角速率測量中都有噪聲。這一傳感器固有噪聲代表的是陀螺儀在靜態慣性(無轉動)和環境條件(無振動、沖擊等)下運行時其輸出中的隨機振動。MEMS 陀螺儀數據手冊中用來描述噪聲特性的最常見指標是速率噪聲密度 (RND) 和角向隨機游動 (ARW) 。RND參數通常 以°/sec/ Hz為單位,根據該參數和陀螺儀的頻率響應,可以簡單地預測角速率方面的總噪聲。ARW參數通常以°/ hr(小 時)為單位,當分析特定期間內噪聲對角度估計的影響時,該參數常常更有用。公式2是根據角速率測量來估計角度的一 般公式。此外,它還提供了一個將RND參數與ARW參數關聯起來的簡單公式。此關系式與IEEE-STD-952-1997(附錄C) 中的關系式相比有很小的改動(前者是單邊FFT,后者是雙邊FFT)。


圖3. 角向隨機游動 (ADIS16460)。
回過頭看圖2中的應用示例,將公式1和公式2結合便可把重要標準(檢查表面上的物理失真)與MEMS陀螺儀數據手冊通常會提供的噪聲性能指標(RND、ARW)關聯起來。在此過程中,假設公式1中的積分時間 (τ) 等于圖像捕捉時間可提供進一步且很有用的簡化。公式3利用公式1中的一般關系來估 計,當攝像頭距檢查表面1米 (D) 且最大容許失真誤差為10μm (dRE) 時,陀螺儀的角向誤差 (φRE) 必須小于0.00057°。


提供連續指向控制的系統開發者可能更愿意從角速率方面來評估噪聲影響,因為他們可能沒有固定的積分時間來利用基于ARW的關系。從角速率方面評估噪聲常常要考慮RND參數和陀螺儀信號鏈的頻率響應。對陀螺儀頻率響應影響最大的常常是濾波,其支持環路穩定標準的專用要求,并能抑制對 環境威脅(如振動)的不相干傳感器響應。公式5給出了一種簡單方法來估算與特定頻率響應(噪聲帶寬)和RND相關的 噪聲。




圖4. 使用濾波器時的ADXRS290噪聲密度。
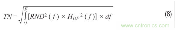
若系統需要定制濾波,其頻率響應 (HDF(f)) 不符合公式6和7中的簡單單極點和雙極點模型,則可利用公式8提供的更一般關系來預測總噪聲:



根本問題是角速率反饋環路中的噪聲可能直接影響運動控制系統的關鍵性能標準,因此,在設計新系統的過程中,應當盡早予以考慮。相比于僅知道需要低噪聲的人,能夠量化角速率噪聲對系統特性影響的人將擁有明顯的優勢。他們將能確定性能目標,在應用中產生可觀測的值;當其他項目目標 支持考慮特定MEMS陀螺儀時,他們將能有效地量化其對系統的影響后果。一旦有了這種基本理解,系統設計師便可專 注于確定能夠滿足性能要求的MEMS陀螺儀,利用帶寬、速率噪聲密度或角向隨機游動來指導其考慮。當他們期望優化 所選傳感器的噪聲性能時,可以利用其與帶寬(角速率噪聲)和積分時間(角誤差)的關系來推動界定其他重要的系 統級特性,從而支持對應用最合適的性能。


