情人節元宵節雙節來臨,祝大家與家人團圓,與”佳人“幸福哦!雙節有驚喜,前章小編為大家介紹的是《對漏感與分布電容的影響進行數學分析》,接下來將給大家帶來是“漏感與分布電容對輸出波形的影響”相關知識中的一個重要環節:電源開關管保護電路參數的計算。具體的相關實例計算大家請詳見以下內容!
接著上章《對漏感與分布電容的影響進行數學分析》繼續講解!
從圖7可以看出,當電源開關管Q1關斷時,勵磁電流在開關變壓器鐵芯中儲存的磁能量將會通過開關變壓初、次級線圈產生反電動勢進行釋放,次級線圈產生的反電動勢將通過整流濾波電路進行平滑濾波后,再給負載提供功率輸出;同時流過變壓器次級線圈的電流也要給變壓器鐵芯進行消磁,使變壓器鐵芯中被磁化后的磁感應強度(最大磁通密度Bm)退回到被勵磁電流磁化之前的值(剩磁Br)。
但在實際消磁過程中,由于變壓器初、次級線圈存在漏感,流過次級線圈N2的電流iL2 并不能完全使變壓器鐵芯進行退磁,即,變壓器鐵芯中儲存的,未被電流 iL2退磁的一部分磁能量,將會通過漏感Ls產生的反激電壓脈沖,在變壓器初級線圈回路中產生電流來釋放。此時,如果反激脈沖電壓es 泄放回路的等效電阻(圖中未畫出)很大,將會在漏感Ls或等效電阻R兩端產生非常高的反激輸出電壓。在圖3或圖7中,電源開關管D、S極兩端的等效電容Cds(實為等效電阻Rds),就相當于漏感Ls產生反激脈沖電壓es 泄放回路的等效電阻。
前面已經分析過(參看圖3和圖6),當電源開關管Q1關斷時,加到開關管D、S極之間的電壓等于輸入電壓U與開關變壓器初級線圈N1產生的反激輸出脈沖電壓(包括漏感產生的反激輸出脈沖電壓)之和;而開關變壓器初級線圈N1產生的反激電壓脈沖,正好等于其半波平均值與一個振蕩波形迭加(參看圖6-c)。
可以證明,在開關電源電路中,當電源開關管突然關斷時,反激輸出尖峰高壓脈沖主要是由變壓器的漏感Ls產生的;漏感Ls產生的尖峰脈沖,首先迭加在一個幅度為開關變壓器初級線圈N1反激輸出電壓的半波平均值之上,然后再與輸入電壓迭加;三個部分電壓迭加后都一起加到電源開關管的D、S極之間。
在反激式開關電源之中,開關變壓器次級線圈一般都要與整流濾波電路連接,經整流濾波后輸出的直流電壓,其紋波電壓非常小,其輸出電壓基本上就等于開關變壓器次級線圈反激輸出電壓脈沖的半波平均值,或輸出電壓就是在半波平均值的基礎上迭加一個紋波,當紋波電壓很小時,輸出電壓就可以認為等于輸出電壓脈沖的半波平均值。
關于變壓器初、次級線圈反激輸出電壓的幅值以及半波平均值的定義與計算,請參考前面(5)~(8)式,不過需要注意的是,這些等式給出的結果,并沒有把分電路的影響考慮進去,當把分布電容考慮進去時,電路相對要復雜一些。
根據以上分析,以及【1-5】~【1-8】式計算結果,開關變壓器次級線圈輸出到整流二極管的反激輸出電壓脈沖的幅度正好等于輸出電壓脈沖的半波平均值(忽略整流二極管的壓降以及分布電感Ls對輸出電壓的影響);通過電磁感應,次級電壓脈沖幅度等效到初級線圈的電壓脈沖幅度也是半波平均值,即:Upa1=nUpa2, Upa1為初級線圈電壓脈沖的半波平均值, Upa2為次級線圈電壓脈沖的半波平均值,n為變壓器次級線圈與初級線圈的電壓比。
在正激式開關電源之中,開關變壓器必須要設置一個次級反饋線圈,反饋線圈輸出的反激電壓脈沖經過整流之后,再反饋回工作電壓的輸入端,這相當于反饋線圈輸出的反激電壓脈沖高出輸入電壓部分完全被限幅;因此,在反饋線圈輸出的電壓中基本不含尖峰脈沖電壓,其等效到初級線圈輸出的反激電壓也不含尖峰脈沖電壓。
由此可知,當電源開關管關斷時,無論是反激式開關電源或者是正激式開關電源,在無漏感的情況下,開關變壓器初級線圈反激輸出的電壓脈沖幅度都基本等于半波平均值,從而可以間接證明:開關變壓初級線圈產生的高壓反電動勢是由變壓器初級線圈的漏感Ls產生的。
由【1-5】~【1-8】式可知,變壓器初、次級線圈反激輸出電壓的幅值主要與電源開關管的導通時間Ton的大小和電流回路中泄放電阻的大小有關,還與充電回路的電容大小有關;當電流回路中泄放電阻的阻值很大或者開路時,漏感產生的反激輸出電壓脈沖幅度是很高的,但其半波平均值與泄放電阻的阻值大小幾乎不相關,只與脈沖寬度相關,請參看【1-5】~【1-8】式。
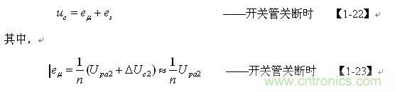
在圖7中,當電源開關管Q1關斷時,如果忽略整流二極管的電壓降,電容器C兩端的電壓uc,就等于變壓器初級線圈中勵磁電感Lu 與漏感 Ls產生的感應電動勢(反激電壓)eu 與 es之和,即:

上面兩式中, uc為電容器C兩端的電壓, eu和 es分別為變壓器初級線圈勵磁電感 Lu和漏感Ls 產生的感應電動勢;Upa2為變壓器次級線圈N2反激輸出電壓的半波平均值,?Uc2為電容器C2兩端的紋波電壓,n為變壓器次級線圈與變壓器初級線圈的變壓比。
[page]
假設變壓器初級線圈的等效電感為L,L=Lu+Ls ,當電源開關管Q1接通時,流過變壓器初級線圈的電流為:

在開關管關斷瞬間,流過變壓器初級線圈的電流達最大值,其值為:

上兩式中, iL為流過變壓器初級線圈的電流, Im為流過變壓器初級線圈電流的最大值; i(0)為流過變壓器初級線圈電流的初始值,即:當t = 0時(開關管關斷前瞬間)流過變壓器初級線圈的電流, i(0) 大小與電源開關管的占空比有關,當占空比等于或小于0.5時, i(0)等于0。
由此求得開關變壓器初級線圈勵磁電感 Lu和漏感 Ls存儲的能量分別為:

上面式中,Wu 和Ws 分別為開關變壓器初級線圈勵磁電感 Lu和漏感Ls 存儲的能量。其中, Ws 是需要RCD尖峰脈沖吸收電路進行吸收的能量;而勵磁電感 Lu 存儲的能量 Wu,則不需要RCD尖峰脈沖吸收電路進行吸收,如果吸收了,開關電源的工作效率將會降低,因為 Wu是用來為負載提供能量輸出的。
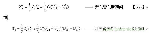
根據以上分析,在理想的情況下,漏感Ls 存儲的能量應該等于電容C儲存的能量與電阻R損耗的能量以及電源開關管損耗的能量,三者的總和。即:

【1-28】式中,Wc 為電源開關管由導通到完全關斷期間電容器C儲存的能量, Wr為電源開關管由導通到完全關斷期間電阻R損耗的能量,Wds 為電源開關管由導通到完全關斷期間漏極電流(逐步減小)對電容器C充電產生分流作用所做的功。
如果不考慮電阻R對電容器C充電時產生的分流作用,以及開關管由導通到完全關斷期間漏極電流(逐步減小)對電容器C充電時產生的分流作用,即:Wr=0 、Wds=0 ,則【1-28】式可以改寫為:

上面2式中, Uc1為電容器被充電前的電壓 Ucx(最低電壓),Uc2 為電容器被充滿電后的電壓 Ucm(最高電壓)。
從【1-30】式中可以看出,(Uc2-Uc1) 正好是電容器兩端電壓的紋波電壓
,即:紋波電壓
;而 (Uc2+Uc1) 正好等于電容器兩端電壓半波平均值 Upac的2倍,即 (Uc2+Uc1)=2 Upac。 因此(30)式又可以改寫為:

【1-31】式中, Upac為電容器C兩端電壓的半波平均值,
電容器C每次充電儲存能量的增量,
為電容器C充電時的電壓增量,其值正好等于紋波電壓
,即:
=
。
[page]

仔細觀察【1-31】式和【1-32】式可知,當電容器C的積累電荷很小時,電容器C兩端電壓的半波平均值就正好等于或略大于紋波電壓的兩倍,即:
。為了計算方便,在計算過程中,我們可以令電容器C兩端電壓的半波平均值約等于紋波電壓的兩倍來進行計算。即:
。
把【1-25】式代入【1-32】式,并注意到當D ≤ 0.5時,i(0)=0 ,可得:

如果考慮電阻R對電容器C充電時的分流作用,以及開關管由導通到完全關斷期間漏極電流(逐步減小)對電容器C充電時的分流作用,則【1-33】和【1-34】式可以改寫為:

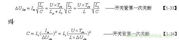
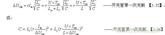
【1-35】和【1-36】中,r為一個與電阻R大小有關和與開關管D-S極之間分布電容參數有關的分流系數,0 ≤ r ≤ 1 。分流系數表示:當考慮電阻R對電容器C充電的分流作用,以及開關管由導通到完全關斷期間,漏極電流對電容器C充電的分流作用時,R和D-S極分布電容對電容器C充電產生的分流作用為(1 - r)倍。當R開路和D-S極分布電容等于0時,分流系數r = 1 。
在實際應用中,總是要對計算結果預留一定的余量;如果令【1-35】和【1-36】式中的分流系數r = 1,即:當使用【1-35】和【1-36】式計算電容器兩端的紋波電壓或電容器的容量時,其計算得到的結果就相當于已經預留了(1 - r)倍的余量。因此,我們可以用【1-35】和【1-36】式來計算電容C的容量以及其兩端紋波電壓Uc 的極限值。
從【1-35】式可以看出,開關管每關斷一次,電容器C兩端的電壓就要增加一個電壓增量Uc ;為了不讓電容器C兩端的電壓不斷增加,必須要在開關管導通期間,把電容器C每次充電新增的電荷通過R釋放掉;即,在開關管每次關斷之前,電容器C兩端的電壓都要通過電阻R釋放掉一部分,使下降的電壓正好與電容器C充電時新增的電壓 Uc在數值上相等,符號相反;即下降的電壓為-Uc 。
[page]
由此可知:電容器C容量的選取,對于開關管每次關斷時所吸收的能量多少至關重要,如果容量選得太小,當電容器第一次充電產生的電壓增量(
)與輸入電壓迭加后,很可能就會超過電源開關管的耐壓值;當開關管導通之后,電容器C開始對電阻R放電,其后,電容器每次充電和放電的電壓增量 Uc和 -Uc的多少,均由電阻R的阻值來決定。
當電容器經過多次充、放電之后,電容器兩端的電壓(最大值)相對要比第一次充電產生的電壓(最大值)略有升高,電容器兩端電壓的半波平均值 Upac也將略有升高;但電容器兩端的最高電壓 (
)還是不能超過電源開關管的最高耐壓與輸入電壓之差。
由圖7可以看出,電容器C兩端電壓的最大值Ucm等于變壓器初級線圈勵磁電感Lu 產生的感應電動勢eu 和漏感 Ls產生的感應電動勢es ,兩者之和(即變壓器初級線圈的反激輸出電壓)的半波平均值,與電容器C充電時產生的電壓增量 Uc的二分之一,三者迭加。即:

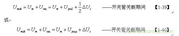
根據上面分析,如果忽略整流二極管D的正向壓降,電源開關管D-S兩極之間的最高電壓 Umds則可由下式決定:

【1-39】和【1-40】式中, Umds為開關管D-S極兩端的最高電壓,Um 為輸入電壓的最大值,Upal 為電容器兩端電壓的最大值; 為開關變壓器初級線圈反激輸出電壓的半波平均值,Upal =Upau +Upas ; Upau為勵磁電感Lu 產生感應電動勢 eu的半波平均值,Upas 為漏感Ls產生感應電動勢 es的半波平均值。 Upal可根據【1-5】~【1-8】式求得:

【1-41】式中,U為電源輸入電壓,Ton為電源開關管的導通時間,Toff為電源開關管的關斷時間,D為占空比。而Upau可根據漏感Ls 與開關變壓器初級線圈的電感L的比值k求得。

【1-42】和【1-43】式中, k=Ls/L為漏感 Ls與開關變壓器初級線圈的電感L的比值。
[page]
當電源開關管Q1由關斷轉為接通時,電容器C兩端電壓將通過R按指數衰減規律進行放電。即:

在電源開關管Q1由導通轉為關斷的瞬間,電容器C兩端的電壓應該為最小值Ucx。其結果可由下式求得:

【1-48】和【1-49】式就是我們用來計算RCD尖峰脈沖吸收電路參數,電阻R、電容器C的容量、電容吸收尖峰脈沖的電壓增量 、以及開關變壓器初級線圈反激輸出電壓的半波平均值 Upal 和開關管導通時間Ton等參數的關系式。
【1-48】和【1-49】式中,R為RCD尖峰脈沖吸收電路中釋放電阻的阻值,C為吸收尖峰脈沖電容器的容量,Ton為電源開關管的導通時間; Uc為電容吸收尖峰脈沖電壓的增量(其值等于紋波電壓 Up-p),Upal 為開關變壓器初級線圈反激輸出電壓的半波平均值;Upal 的值可根據(41)式求得。在使用【1-48】和【1-49】式之前,還需要先利用【1-33】和【1-34】式或【1-35】和【1-36】式計算出電容器C的容量,以及根據開關管的最大耐壓BVm定義好電容器C吸收尖峰脈沖電壓增量 的數值。
下面我們來討論一下,電容器電壓增量數值的選取。
前面已經分析過,當電源開關管Q1關斷時,加到開關管D、S極之間的電壓等于輸入電壓U與開關變壓器初級線圈N1產生的反激輸出脈沖電壓(包括漏感產生的反激輸出脈沖電壓)之和,參看【1-39】、【1-40】式。在圖7中,開關變壓器初級線圈N1產生的反激電壓脈沖的最大值,正好等于RCD尖峰脈沖吸收電路中電容器兩端電壓的最大值 Ucm, 而Ucm 可以根據【1-37】、【1-38】、【1-39】、【1-40】式求得。
PS:關于“RCD尖峰脈沖吸收電路參數計算舉例”的具體內容。將會在后面一一奉獻!請大家關注本站更新!-
【連載】陶顯芳老師談開關變壓器的工作原理與設計:
陶老師教你:對漏感與分布電容的影響進行數學分析
http://m.jinyixuan88.cn/power-art/80022290
陶老師精講:單激式開關電源的基本電路
http://m.jinyixuan88.cn/power-art/80022281
線圈電感量的計算及幾種典型電感介紹
http://m.jinyixuan88.cn/power-art/80022174
開關變壓器的漏感工作原理及計算
http://m.jinyixuan88.cn/power-art/80022173
開關變壓器鐵芯脈沖導磁率與平均導磁率的測量
http://m.jinyixuan88.cn/power-art/80022172
雙激式開關變壓器鐵芯磁滯損耗、渦流損耗的測量
http://m.jinyixuan88.cn/power-art/80022171
單激式開關變壓器鐵芯磁滯損耗、渦流損耗的測量
http://m.jinyixuan88.cn/power-art/80022170



